向量形式
公式
圖一
定比分點公式設D為 一邊BC上一點,則
定比分點公式
定比分點公式設 ,則
定比分點公式證明過程
對於前者,
定比分點公式
定比分點公式對於後者,將 和
定比分點公式
定比分點公式相加,套用 即得結論。
坐標形式
公式
定比分點公式
定比分點公式
定比分點公式
定比分點公式
定比分點公式
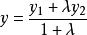
定比分點公式在平面直角坐標系內,已知兩點 , ;在兩點連線上有一點P,設它的坐標為 ,且 ,那么我們說P分有向線段 的比為 。我們將
定比分點公式
定比分點公式
定比分點公式
定比分點公式稱為有向線段 的定比分點P的坐標公式。
定比分點公式
定比分點公式
定比分點公式
定比分點公式當P為內分點時, ;當P為外分點時, ;當P與A重合時, ;當P與B重合時, 不存在。
推導過程
定比分點公式對 及其上一點P套用定比分點公式的向量形式,即證。
推論
下面不加證明地給出兩個推論。
中點公式
定比分點公式
定比分點公式
定比分點公式已知兩點 , ,設兩點中點為 ,則推出中點公式
定比分點公式
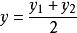
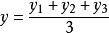
定比分點公式三角形重心公式
定比分點公式
定比分點公式已知 ,設三角形重心為 ,則推出三角形重心公式
定比分點公式
定比分點公式
