基本介紹
中點公式
中點公式
中點公式
中點公式
中點公式
中點公式設 是平面直角坐標系內的任意兩點,點 是線段 的中點。過點 分別向 軸作垂線,垂足分別為 ,如圖1所示。
圖1
中點公式
中點公式
中點公式
中點公式
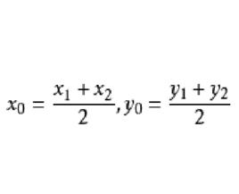
中點公式因為點 為線段 的中點,根據平行線的性質,點 分別是線段 和 的中點,即
中點公式
中點公式所以 ,即
中點公式這就是線段中點坐標的計算公式,簡稱 中點公式。同樣也可以將中點公式推廣到三維的情況 。
套用舉例
求連線下列兩點的線段的中點坐標。
中點公式
中點公式
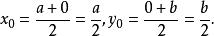
中點公式解: (1)設線段的中點坐標為,則根據中點坐標公式可得
中點公式
中點公式
中點公式所以線段的中點坐標為。
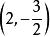
中點公式
中點公式(2) 設線段的中點坐標為,則根據中點坐標公式可得
中點公式
中點公式
中點公式所以線段的中點坐標為。
相關知識
中點公式點在平面直角坐標系中的表示: ;
中點公式
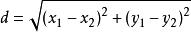
中點公式兩點 之間的距離: 。
中心對稱:關於點的對稱問題
點關於點的對稱
中點公式
中點公式如果點 關於點M對稱,則M是線段 的中點。
解析:依據中點坐標公式:
中點公式
中點公式
中點公式【 】→(關於點 的對稱點)→【 】
中點公式
中點公式【 】→(關於坐標原點的對稱點)→ 【 】
曲線關於點的對稱
中點公式
中點公式
中點公式【】→(關於點的對稱曲線)→【】
中點公式
中點公式【】→(關於坐標原點的對稱曲線)→ 【】
中點公式
中點公式
中點公式
中點公式
中點公式
中點公式
中點公式
中點公式
中點公式
中點公式解析:設是曲線上的任意一點,關於的對稱點為,因為在曲線上,所以,,即的坐標是方程的解 。
軸對稱問題:關於直線的對稱問題
中點公式點P關於直線 的對稱點
中點公式
中點公式
中點公式
中點公式
中點公式
中點公式過點P做的垂線,垂足為N,延長PN到P’,使,則是線段的中點,,N在直線上。
中點公式
中點公式
中點公式設關於直線的對稱點為,則有
中點公式
中點公式
中點公式
中點公式其中第一個方程式是因為在直線上),第二個方程式是因為。
解得:
中點公式
中點公式曲線關於直線 的對稱
中點公式
中點公式
中點公式曲線關於直線的對稱曲線的方程解題步驟:
中點公式
中點公式
中點公式
中點公式
中點公式①設是曲線上任意一點,求點關於直線的對稱點的坐標。
中點公式
中點公式
中點公式
中點公式
中點公式
中點公式
中點公式②因為在曲線上,則的坐標方程是的解,將的坐標代入曲線的方程,化簡即得的方程 。

