定義
同餘數
同餘數
同餘數
同餘數
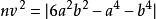
同餘數叫同餘數,如果它是三邊邊長都是有理數的直角三角形的面積。用式子來表示就是:如果存在三個正有理數 滿足 和面積 ,此數 就稱為同餘數。
同餘數例如:6是同餘數,因為它是三邊邊長3、4、5的直角三角形的面積。5也是同餘數,因為它是邊長為 的直角三角形的面積。
整同餘數
如果正整數n是同餘數,那么,n稱為整同餘數。
同餘數設n是正有理數,且對 ,這裡s是正有理數,而r是無平方因子的正整數,那么n是同餘數若且唯若r是同餘數。
由此可見,同餘數的問題可轉化為整同餘數來處理。
本原同餘數
如果一個A 是不含平方因子的整同餘數,則 A 稱為本原同餘數。
重要結論
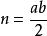
定理:n是整同餘數的充要條件是存在正整數a,b,v,使得:
同餘數
同餘數
同餘數
同餘數其中,是正整數,一奇數一偶數
同餘數
同餘數推論:若不定方程 沒有正整數解,則n不是同餘數。
套用舉例
例1 試證明:1不是同餘數
同餘數證明:因為不定方程沒有正整數解 ,由推論知,1不是同餘數。
例2 試證7是同餘數
同餘數
同餘數
同餘數證明:在中,取 ,得,故7是同餘數
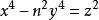
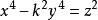
同餘數例3 設k為正整數,試證不是同餘數
同餘數
同餘數
同餘數
同餘數
同餘數
同餘數
同餘數證明:假設是同餘數,則有:有正整數解,從而,不定方程有正整數解,但不定方程沒有正整數解 ,矛盾,故假設不成立。因此,不是同餘數
歷史
同餘數
同餘數
同餘數
同餘數同餘數問題在數學界被稱為三大千年數論難題之一(另外兩個是完全數問題與三次和三次以上丟番圖方程有解問題)。古阿拉伯人是通過研究直角三角形的面積提出同餘數問題的。對於直角三角形,人們已經知道,它的三邊滿足方程 ,這就是我們所說的的勾股定理(在國外又被稱為畢達哥拉斯定理)。當直角三角形的三邊 為有理數,若直角三角形的面積 為正整數,這樣的 就是古阿拉伯人所欲求得的同餘數。
同餘數
同餘數
同餘數
同餘數
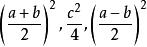
同餘數早在一千多年前的一份阿拉伯手稿中,提出了這樣一個問題:一個正整數n何時能成為一個一個由三個有理平方數形成的等差數列的公差,也就是說 都是平方數。這與前面的定義是等價的,因為 形成我們想要的等差數列。反過來,若 ,則 形成一個面積為 的有理直角三角形。這便是同餘數名稱的由來。容易看出,乘上一個平方數不影響一個數是否成為同餘數。所以人們常常假設n不含平方因子。在阿拉伯人的手稿中,給出了34個同餘數,其中,不含平方因子的有30個:
同餘數
同餘數以後的古希臘人,也曾在同餘數問題上得到了一些具體的結果。
研究成果
經典結果
同餘數
同餘數到了十七世紀,法國大數學家費爾馬開始對同餘數問題進行系統地研究,首先,他把古阿拉伯人的研究方法改造為一個定理:正整數n是同餘數若且唯若方程組 具有y≠0的整數解。這就使初等數論理論開始套用到同餘數問題的研究之中,運用他自己發明的無窮遞降法,費爾馬證明了1 ,2 ,3 不是同餘數。其中1不是同餘數等價於方冪等於4的費馬大定理,即 沒有整數解。這也是最早出現的對非同餘數的研究成果。萊昂哈德·歐拉(Euler)第一個證明了7是同餘數。
公元972年,在一份阿拉伯手稿中,提出了這樣一個問題:一個正整數n何時能成為一個一個由三個有理平方數形成的等差數列的公差,也就是說x-n,x,x+n都是平方數。
十三世紀,義大利數學家斐波那契指出5和7是同餘數,他也猜想1、2、3不是同餘數,但未能給出證明。
直到1659年,法國大數學家費爾馬運用他自己發明的無窮下降法證明了1、2、3不是同餘數。
十八世紀,大數學家歐拉首次證明了7是同餘數。
1952年, Heegner 證明了任意模8餘5、7的素數和任意模4餘3的素數的兩倍均為同餘數。
2000年,美國克雷數學研究所公布了千禧年七大數學難題,每破解其中一個難題者將獲得100萬美元的獎金。其中就有著名的BSD猜想(全稱Birch and Swinnerton-Dyer猜想),而這個猜想與同餘數問題有緊密的聯繫。
2012年,田野證明了存在無窮多個具有任意指定素因子個數的同餘數,這是在同餘數問題上的一個根本性突破,也首次給出了解決BSD猜想的線索。
與橢圓曲線關係
同餘數近代人們發現同餘數問題與橢圓曲線緊密相關。n是同餘數等價於橢圓曲線 有無窮多個有理點。 特別的, 在假設BSD猜想前提下,模8餘5,6,7的n是同餘數。
同餘數
同餘數把這個定理與橢圓曲線理論相聯繫,使人們對同餘數問題的研究有了重大的進展,不過人們同時也發現,用這個定理去求解一個具體的同餘數仍然非常地困難。例如,人們已知157是同餘數,但在方程 的最小解 中,x的分母和分子都近100位,它對應的直角三角形的斜邊為
同餘數.
猜想性的判定法則
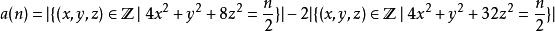
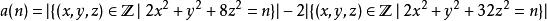
Tunnell證明了在 假設BSD猜想的前提下,若n是奇數,定義
同餘數若n是偶數,定義
同餘數則n是同餘數等價於a(n)=0。由於解析秩為0的情形已經被證明,因此a(n)不等於0能推出n不是同餘數。利用這種方法,可以有效地驗證一個非同餘數。
2下降法
在非同餘數方面,人們推廣了費馬的方法,證明了任何素數或者素數的兩倍,如果模8餘1,2,3,是非同餘數。馮克勤證明了對任意的k>0,存在無限多個非同餘數恰好有k個素因子。
與特殊值公式的關係
利用特殊值的導數公式,Heegner證明了模8餘5,6,7的素數或素數兩倍是同餘數。在此基礎上,田野證明了對任意的k>0,存在無限多個非同餘數恰好有k個素因子。
50%-50%猜想
人們猜想,幾乎所有的模8餘5,6,7的平方自由的正整數對應的橢圓曲線秩為1,幾乎所有的模8餘1,2,3的平方自由的正整數對應的橢圓曲線秩為0。也就是說所有的同餘橢圓曲線中有50%秩為0,50%秩為1。田野首次證明了秩為0和秩為1的百分比均大於0,相關文章尚未發表。
