定義
從第二項起,每一項都等於前一項加上同一個數d的有限數列或無限數列.又叫算術數列.這個數d稱為等差數列的公差.等差數列可以記作
公差[數理科學概念]等差數列從第二項開始每一項是前項和後項的算術平均數.
如果等差數列的公差是正數,則該等差數列是遞增數列;
如果等差數列的公差是負數,則該數列是遞減數列;
如果等差數列的公差等於零,則該數列是常數列.
對於一個數列a,a,…,a,…,如果它的相鄰兩項之差a-a,a-a,…,a-a,…構成公差不為零的等差數列,則稱數列{a}為二階等差數列. 運用遞歸的方法可以依次定義各階等差數列:對於數列{a},如果{a-a}是r階等差數列,則稱數列{an}是r+1階等差數列.二階或二階以上的等差數列稱為高階等差數列.
r階等差數列的通項公式可以用一個關於項數n的r次多項式來表示,反之,通項公式為項數n的r次多項式的數列必為r階等差數列.
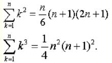
高階等差數列的求和方法主要有兩種,一種是將其通項(項數n的r次多項式)表成差分多項式的線性組合從而求和.另一種是利用自然數冪的求和公式,如
公差[數理科學概念]r階等差數列的前n項和公式是項數n的r+1次多項式,對r不太高的情況也可用待定係數法來確定.
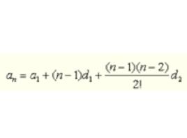
二階等差數列的通項
公差[數理科學概念]式中a是第n項,a是第一項,n為項數,d是數列的後項減去緊鄰的前一項所得的第一次差構成的數列的首項,d是第二次差.例如二階等差數列1,4,9,16,25,36,49,…,通項
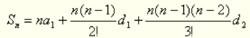
公差[數理科學概念]二階等差數列錢n項和
公差[數理科學概念]例如二階等差數列{n^2}前n項和
公差[數理科學概念]
公差[數理科學概念]
公差[數理科學概念]
公差[數理科學概念]
公差[數理科學概念]{ }是等差數列 =常數d,d為等差數列{ }的公差.
相關公式
公差[數理科學概念]
公差[數理科學概念]設{ }是等差數列,d為等差數列{ }的公差,則有如下公式:
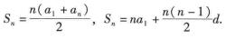
等差數列的通項公式:
公差[數理科學概念]等差數列的一般形式:
公差[數理科學概念]等差數列的前n項和公式:
公差[數理科學概念]相關性質
(1)常數列:C,C,…,C是公差d=0的等差數列.
(2)等差中項:如果a,A,b成等差數列,則A叫作a與b的等差中項,且A=(a+b)/2.
公差[數理科學概念]
公差[數理科學概念]
公差[數理科學概念]
公差[數理科學概念](3)若Sn是等差數列的前n項和,則Sn, 一 , - ,…是一個等差數列.
公差[數理科學概念]
公差[數理科學概念]
公差[數理科學概念](4)若{ }是等差數列,公差d>0時{ }是遞增數列,d<0時{ }是遞減數列.
公差[數理科學概念]
公差[數理科學概念]
公差[數理科學概念]
公差[數理科學概念](5)在同一數列中,當m+n=p+q時, + = + .
盤點高中數學名詞
| 高中是大學的過渡階段,學好高中數學,才能為學好大學數學打好基礎,那我們盤點下高中數學中有哪些名詞吧。 |
![公差[數理科學概念] 公差[數理科學概念]](/img/3/2ca/nBnauM3X1IDMwYzN4EzN2IDN0UTMyITNykTO0EDMwAjMwUzLxczLwQzLt92YucmbvRWdo5Cd0FmLwE2LvoDc0RHa.jpg)
