簡介
一門古典的微分幾何,早在20世紀20年代初期就已建成。內容包括曲線和曲面的在仿射變換群下的不變數、協變圖形及其性質。以W.J.E.布拉施克為首的漢堡學派奠定了仿射微分幾何基礎,他們的方法同射影微分幾何的富比尼方法相類似,分別使用了自然方程和基本微分形式,從而導出空間曲線和曲面論的基本定理。20年代末期的研究主要集中在仿射曲面論的幾何結構、仿射鑄曲面與仿射旋轉曲面論的引進、仿射曲面論和射影曲面論間的若干關係等三個方面,使這門分科趨於完善。此外,曲線和曲面的凸性,也是仿射不變的性質,對於凸閉曲線和凸閉曲面的部分研究工作,也屬於微分幾何的範圍。曲面論基本定理
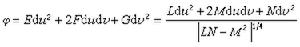
設
是三維仿射空間A3的一點的坐標,x=x(u,v)是一個曲面S的參數表示。又設普通曲面論的第二基本形式為Ldu2+2M dudv+Ndv2,那么仿射曲面論的二次基本形式是
,
式中假定了LN-M 2≠0,即S是非可展的解析曲面。
同射影曲面論一樣,還作出三次基本形式



這兩個基本形式的係數必須滿足一系列的關係式,即所謂仿射曲面論的基本方程。於此,導出對應的基本定理:給定了二微分形式φ和ψ,並假設它們的係數滿足上述的基本方程。那么,除了仿射變換外,可以惟一地決定一個曲面,使它的兩個基本形式是φ和ψ。
仿射曲面論的幾何結構
一般的曲面在其正常點 P必有一個仿射協變的四次(三階)代數錐面Г4,它的幾何結構如下:沿P的每一非主切線t的方向作穆塔爾二次曲面,連P和這二次曲面的中心,得到一根直線l;當t在P點變動時,l的軌跡是一個四次錐面Г4。它有下列的一些重要性質:它和切平面相切於二條主切線t1,t2;它有三根尖點線C1,C2,C3,它們的對應切線是達布切線d1,d2,d3;每二根尖點線的平面和切平面相交於一條塞格雷切線;C1,C2,C3的尖點切平面相會於曲面的仿射法線n;過C1,C2,C3和t1,t2,n中的任何兩根可作二次錐面,這兩根直線所成的平面關於這二次錐面的極線正好是剩下的第三根直線。此外,還可證明:Г4是特蘭森平面的包絡。因此,通過Г4,可以弄清楚曲面的許多仿射不變的以及射影不變的圖形間的相互關係,這是一個闡明仿射曲面微分幾何性質的重要的構圖。
此外,為了闡明曲面的仿射理論和射影理論間的關係,還可提出如下的問題:求曲面
使它的仿射法線重合於某一根規範直線
,從這個問題的解可以導出富有興趣的幾何圖形。
仿射鑄曲面和仿射旋轉曲面
設S 為一個非可展的解析曲面。假定從一條定曲線C上的任一點A作S 的切平面時,其切點的軌跡是一根平面曲線CA,而且,當A在C上變動時,CA的平面都互相平行。那么,稱S為仿射鑄曲面。在這種曲面上有兩族具備特殊意義的曲線,即“平行曲線”和“子午線”。特別是,當S的仿射法線落在子午線的密切平面之上時,S 就稱仿射旋轉面。這種曲面有許多特徵,如:一族達布曲線在平行的一族平面上,等等。在n維仿射空間An中,同樣也可定義這兩類超曲面。
參考書目
蘇步青著: 《仿射微分幾何》 ,科學出版社,北京,1982。

