基本定義
二次函式一般地,把形如(a、b、c是常數)的函式叫做二次函式,其中a稱為二次項係數,b為一次項係數,c為常數項。x為自變數,y為因變數。等號右邊自變數的最高次數是2。
二次函式頂點坐標
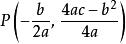
二次函式交點式 為 ( 僅限 於與x軸有交點的拋物線),
二次函式
二次函式與x軸的交點坐標是 和 。
注意:“變數”不同於“未知數”,不能說“二次函式是指未知數的最高次數為二次的多項式函式”。“未知數”只是一個數(具體值未知,但是只取一個值),“變數”可在一定範圍內任意取值。在方程中適用“未知數”的概念(函式方程、微分方程中是未知函式,但不論是未知數還是未知函式,一般都表示一個數或函式——也會遇到特殊情況),但是函式中的字母表示的是變數,意義已經有所不同。從函式的定義也可看出二者的差別。。
歷史
大約在公元前480年,古巴比倫人和中國人已經使用配方法求得了二次方程的正根,但是並沒有提出通用的求解方法。公元前300年左右,歐幾里得提出了一種更抽象的幾何方法求解二次方程。
7世紀印度的婆羅摩笈多是第一位懂得用使用代數方程的人,它同時容許有正負數的根。
11世紀阿拉伯的花拉子密 獨立地發展了一套公式以求方程的正數解。亞伯拉罕·巴希亞(亦以拉丁文名字薩瓦索達著稱)在他的著作Liber embadorum中,首次將完整的一元二次方程解法傳入歐洲。
據說施里德哈勒是最早給出二次方程的普適解法的數學家之一。但這一點在他的時代存在著爭議。這個求解規則是:在方程的兩邊同時乘以二次項未知數的係數的四倍;在方程的兩邊同時加上一次項未知數的係數的平方;然後在方程的兩邊同時開二次方(引自婆什迦羅第二)
函式性質
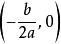
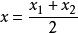
二次函式1.二次函式的圖像是拋物線,但拋物線不一定是二次函式。開口向上或者向下的拋物線才是二次函式。拋物線是軸對稱圖形。對稱軸為直線 。 對稱軸與拋物線唯一的交點為拋物線的頂點P。特別地,當b=0時,拋物線的 對稱軸是y軸(即直線x=0)。
二次函式
二次函式
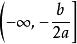
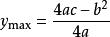
二次函式2.拋物線有一個頂點P,坐標為P 。當 時,P在y軸上;當 時,P在x軸上。
3.二次項係數a決定拋物線的開口方向和大小。 當a>0時,拋物線開口向上;當a<0時,拋物線開口向下。|a|越大,則拋物線的開口越小; |a|越小,則拋物線的開口越大。
4.一次項係數b和二次項係數a共同決定對稱軸的位置。 當a與b同號時(即ab>0),對稱軸在y軸左側; 當a與b異號時(即ab<0),對稱軸在y軸右側。(可巧記為:左同右異)
5.常數項c決定拋物線與y軸交點。拋物線與y軸交於(0, c)
二次函式
二次函式
二次函式6.拋物線與x軸交點個數: 時,拋物線與x軸有2個交點。 時,拋物線與x軸有1個交點。當 時,拋物線與x軸沒有交點。
二次函式
二次函式
二次函式
二次函式
二次函式
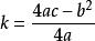
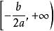
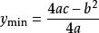
二次函式7.當 時,函式在 處取得最小值 ;在 上是減函式,在 上是增函式;拋物線的開口向上;函式的值域是 。
二次函式
二次函式
二次函式
二次函式
二次函式
二次函式當 時,函式在 處取得最大值 ;在 上是增函式,在 上是減函式;拋物線的開口向下;函式的值域是 。
二次函式當 時,拋物線的對稱軸是y軸,這時,函式是偶函式,解析式變形為y=ax²+c(a≠0)。
8. 定義域:R
二次函式
二次函式值域:當a>0時,值域是 ;當a<0時,值域是 。
奇偶性:當b=0時,此函式是偶函式;當b不等於0時,此函式是非奇非偶函式。
周期性:無
解析式:
二次函式①一般式:
⑴a≠0
⑵若a>0,則拋物線開口朝上;若a<0,則拋物線開口朝下;
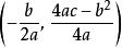
二次函式⑶頂點: ;
二次函式⑷
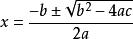
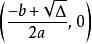
若Δ>0,則函式圖像與x軸交於兩點:
二次函式
二次函式和 ;
若Δ=0,則函式圖像與x軸交於一點:
二次函式若Δ<0,函式圖像與x軸無公共點;
二次函式②頂點式: 此時頂點為(h,k)
二次函式
二次函式
二次函式時,對應頂點為 ,其中, ;
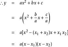
二次函式③交點式:
二次函式
二次函式函式圖像與x軸交於 和 兩點。
表達式
頂點式
y=a(x-h)²+k(a≠0,a、h、k為常數),頂點坐標為(h,k) ,對稱軸為直線x=h,頂點的位置特徵和圖像的開口方向與函式y=ax²的圖像相同,當x=h時,y最大(小)值=k.有時題目會指出讓你用配方法把一般式化成頂點式。
例:已知二次函式y的頂點(1,2)和另一任意點(3,10),求y的解析式。
解:設y=a(x-1)²+2,把(3,10)代入上式,解得y=2(x-1)²+2。
注意:與點在平面直角坐標系中的平移不同,二次函式平移後的頂點式中,h>0時,h越大,圖像的對稱軸離y軸越遠,且在x軸正方向上,不能因h前是負號就簡單地認為是向左平移。
具體可分為下面幾種情況:
當h>0時,y=a(x-h)²的圖像可由拋物線y=ax²向右平行移動h個單位得到;
當h<0時,y=a(x-h)²的圖像可由拋物線y=ax²向左平行移動|h|個單位得到;
當h>0,k>0時,將拋物線y=ax²向右平行移動h個單位,再向上移動k個單位,就可以得到y=a(x-h)²+k的圖象;
當h>0,k<0時,將拋物線y=ax²向右平行移動h個單位,再向下移動|k|個單位可得到y=a(x-h)²+k的圖象;
當h<0,k>0時,將拋物線y=ax²向左平行移動|h|個單位,再向上移動k個單位可得到y=a(x-h)²+k的圖象;
當h<0,k<0時,將拋物線y=ax²向左平行移動|h|個單位,再向下移動|k|個單位可得到y=a(x-h)²+k的圖象。
交點式
二次函式
二次函式[僅限於與x軸即y=0有交點時的 拋物線,即b -4ac≥0] .
二次函式已知拋物線與x軸即y=0有交點A(x, 0)和B(x, 0),我們可設 ,然後把第三點代入x、y中便可求出a。
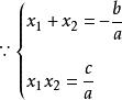
二次函式由一般式變為交點式的步驟: (韋達定理)
二次函式重要概念:a,b,c為常數,a≠0,且a決定函式的開口方向。a>0時,開口方向向上;a<0時,開口方向向下。a的絕對值可以決定開口大小。a的絕對值越大開口就越小,a的絕對值越小開口就越大。
二次函式f(x)=f[x0]+f[x0,x1](x-x0)+f[x0,x1,x2](x-x0)(x-x1)+...f[x0,...xn](x-x0)...(x-xn-1)+Rn(x)由此可引導出交點式的係數 (y為截距) 二次函式表達式的右邊通常為 二次三項式。
二次函式歐拉交點式:
二次函式
二次函式若ax²+bx+c=0有兩個實根x,x,則 此拋物線的對稱軸為直線 。
三點式
方法1:
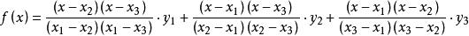
已知二次函式上三個點,(x, y)、(x, y)、(x, y)。把三個點分別代入函式解析式y=a(x-h)²+k(a≠0,a、h、k為常數),有:
二次函式得出一個三元一次方程組,就能解出a、b、c的值。
方法2:
已知二次函式上三個點,(x, y)、(x, y)、(x, y)
利用拉格朗日插值法,可以求出該二次函式的解析式為:
二次函式與X軸交點的情況:
二次函式當 時,函式圖像與x軸有兩個交點,分別是(x, 0)和(x, 0)。
二次函式
二次函式當 時,函式圖像與x軸只有一個切點,即 。
二次函式
二次函式當 時,拋物線與x軸沒有公共交點。x的取值範圍是虛數( )
函式圖像
基本圖像
二次函式在平面直角坐標系中作出二次函式y=ax +bx+c的圖像,可以看出,在沒有特定定義域的二次函式圖像是一條永無止境的拋物線。 如果所畫圖形準確無誤,那么二次函式圖像將是由 平移得到的。
軸對稱
二次函式圖像
二次函式二次函式圖像是 軸對稱圖形。對稱軸為直線
對稱軸與二次函式圖像 唯一的交點為二次函式圖象的頂點P。
特別地,當b=0時,二次函式圖像的對稱軸是 y軸(即直線x=0)。是頂點的橫坐標(即x=?)。
a,b同號,對稱軸在y軸左側;
a,b異號,對稱軸在y軸右側。
頂點
二次函式圖像有一個頂點P,坐標為P(h,k)。
當h=0時,P在y軸上;當k=0時,P在 x軸上。即可表示為頂點式y=a(x-h) +k(x≠0)
二次函式
二次函式, 。
開口
二次項係數a決定二次函式圖像的開口方向和大小。
當 a>0時,二次函式圖象 向上開口;當 a<0時,拋物線 向下開口。
|a| 越大,則二次函式圖像的開口 越小。
決定位置因素
一次項係數b和二次項係數a共同決定對稱軸的位置。
當a>0,與b 同號時(即ab >0),對稱軸在 y軸左; 因為對稱軸在左邊則對稱軸 小於0,也就是- b/2a<0,所以 b/2a要大於0,所以a、b要同號
當a>0,與b 異號時(即ab <0),對稱軸在 y軸右。因為對稱軸在右邊則對稱軸要 大於0,也就是- b/2a>0, 所以b/2a要小於0,所以a、b要異號
可簡單記憶為 左同右異,即當對稱軸在y軸左時,a與b同號(即a>0,b>0或a<0,b<0);當對稱軸在y軸右時,a與b異號(即a0或a>0,b<0)(ab<0)。
事實上,b有其自身的幾何意義:二次函式圖象與y軸的交點處的該二次函式圖像切線的函式解析式(一次函式)的斜率k的值。可通過對二次函式求導得到。
決定交點因素
常數項c決定二次函式圖像與y軸交點。
二次函式圖像與y軸交於(0,C)點
注意:頂點坐標為(h,k), 與y軸交於(0,C)。
與x軸交點數
a<0;k>0或a>0;k<0時,二次函式圖像與x軸有2個交點。
k=0時,二次函式圖像與x軸只有1個交點。
質疑點:a<0;k<0或a>0,k>0時,二次函式圖像與x軸無交點。
二次函式當a>0時,函式在x=h處取得最小值 =k,在x<h範圍內是減函式,在x>h範圍內是增函式(即y隨x的變大而變大),二次函式圖像的開口向上,函式的值域是y>k
二次函式當a<0時,函式在x=h處取得最大值 =k,在x<h範圍內是增函式,在x>h範圍內是減函式(即y隨x的變大而變小),二次函式圖像的開口向下,函式的值域是y<k
當h=0時,拋物線的對稱軸是y軸,這時,函式是偶函式
函式圖象
對稱關係
對於 一般式 :
①y=ax +bx+c與y=ax -bx+c兩圖像關於y軸對稱
②y=ax +bx+c與y=-ax -bx-c兩圖像關於x軸對稱
③y=ax +bx+c與y=-ax +bx+c-b /2a關於頂點對稱
④y=ax +bx+c與y=-ax +bx-c關於原點中心對稱。(即繞原點鏇轉180度後得到的圖形)
對於頂點式:
①y=a(x-h) +k與y=a(x+h) +k兩圖像關於y軸對稱,即頂點(h, k)和(-h, k)關於y軸對稱,橫坐標相反、縱坐標相同。
②y=a(x-h) +k與y=-a(x-h) -k兩圖像關於x軸對稱,即頂點(h, k)和(h, -k)關於x軸對稱,橫坐標相同、縱坐標相反。
③y=a(x-h) +k與y=-a(x-h) +k關於頂點對稱,即頂點(h, k)和(h, k)相同,開口方向相反。
④y=a(x-h) +k與y=-a(x+h) -k關於原點對稱,即頂點(h, k)和(-h, -k)關於原點對稱,橫坐標、縱坐標都相反。
(其實①③④就是對f(x)來說f(-x),-f(x),-f(-x)的情況)
五點法
五點草圖法又被叫做五點作圖法是二次函式中一種常用的作圖方法。
註明:雖說是草圖,但畫出來絕不是草圖。
五點草圖法中的五個點都是極其重要的五個點,分別為:頂點、與x軸的交點、與y軸的交點及其關於對稱軸的對稱點。
Ps.正規考試也是用這種方法初步確定圖像。但是正規考試的要求在於要列表格,取x、y,再確定總體圖像。五點法是可以用在正規考試中的。
描點法
在國中數學中,要求採用描點法畫出二次函式圖像。
二次函式其做法與五點法類似:【以 為例】
1、列表
| x | …… | -1 | -0.5 | 0 | 1 | 2 | 2.5 | 3 | …… |
二次函式 | …… | 7 | 3.5 | 1 | -1 | 1 | 3.5 | 7 | …… |
y=2(x-1)^2-1先取頂點,用虛線畫出對稱軸。取與x軸兩個交點(如果存在)、y軸交點及其對稱點(如果存在)和另外兩點及其對稱點。 Ps.原則上相鄰x的差值相等,但遠離頂點的點可以適當減小差值
2、依據表格數據繪製函式圖像,如圖
方程關係
二次函式特別地,二次函式(以下稱函式) ,
當 y=0時,二次函式為關於x的一元二次方程(以下稱方程),即
二次函式此時,函式圖像與x軸有無交點即方程有無實數根。
函式與x軸交點的橫坐標即為方程的根。
1.二次函式y=ax,y=a(x-h),y=a(x-h)+k,y=ax+bx+c(各式中,a≠0)的圖象形狀相同,只是位置不同,它們的頂點坐標及對稱軸如下表:
y=ax² (0,0) x=0
y=ax²+K (0,K) x=0
y=a(x-h)² (h,0) x=h
y=a(x-h)²+k (h,k) x=h
y=ax²+bx+c (-b/2a,(4ac-b^2);/4a)x=-b/2a
當h>0時,y=a(x-h)^2的圖象可由拋物線y=ax²向右平行移動h個單位得到,
當h<0時,則向左平行移動|h|個單位得到。
當h>0,k>0時,將拋物線y=ax^2向右平行移動h個單位,再向上移動k個單位,就可以得到y=a(x-h)²+k(h>0,k>0)的圖象
當h>0,k<0時,將拋物線y=ax^2向右平行移動h個單位,再向下移動|k|個單位,就可得到y=a(x-h)²+k(h>0,k<0)的圖象
當h<0,k>0時,將拋物線y=ax^2向左平行移動|h|個單位,再向上移動k個單位,就可得到y=a(x+h)²+k(h<0,k>0)的圖象
當h<0,k<0時,將拋物線y=ax^2向左平行移動|h|個單位,再向下移動|k|個單位,就可得到y=a(x+h)²+k(h<0,k<0)的圖象
在向上或向下。向左或向右平移拋物線時,可以簡記為“上加下減,左加右減”。
因此,研究拋物線 y=ax +bx+c(a≠0)的圖像,通過配方,將一般式化為y=a(x-h) +k的形式,可確定其頂點坐標、對稱軸,拋物線的大體位置就很清楚了。這給畫圖像提供了方便。
2.拋物線y=ax +bx+c(a≠0)的圖像:當a>0時,開口向上,當a<0時開口向下,對稱軸是直線x=-b/2a,頂點坐標是(-b/2a,[4ac-b²]/4a)。
3.拋物線y=ax +bx+c(a≠0),若a>0,當x ≤ -b/2a時,y隨x的增大而減小;當x ≥ -b/2a時,y隨x的增大而增大。若a<0,當x ≤ -b/2a時,y隨x的增大而增大;當x ≥ -b/2a時,y隨x的增大而減小。
4.拋物線y=ax +bx+c的圖像與坐標軸的交點:
(1)圖像與y軸一定相交,交點坐標為(0, c);
二次函式
二次函式
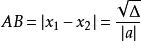
二次函式(2)當 時,圖像與x軸交於兩點A(x, 0)和B(x, 0),其中的x1,x2是一元二次方程ax +bx+c=0(a≠0)的兩根.這兩點間的距離 另外,拋物線上任何一對對稱點的距離可以由 (A為其中一點的橫坐標的兩倍)
二次函式當 時,圖像與x軸只有一個切點;
二次函式當 時,圖像與x軸沒有公共點。當a>0時,圖像落在x軸的上方,x為任何實數時,都有y>0;當a<0時,圖像落在x軸的下方,x為任何實數時,都有y<0。
二次函式
二次函式
二次函式
二次函式5.拋物線y=ax +bx+c的最值:如果a>0,則當 時, ;如果a<0,則當 時, 。
頂點的橫坐標,是取得最值時的自變數值,頂點的縱坐標,是最值的取值。
6.用待定係數法求二次函式的解析式
(1)當題給條件為已知圖象經過三個已知點或已知x、y的三對對應值時,可設解析式(表達式)為一般形式:
二次函式(a≠0)
(2)當題給條件為已知圖像的頂點坐標或對稱軸或極大(小)值時,可設解析式為頂點式:y=a(x-h) +k(a≠0)。
(3)當題給條件為已知圖像與x軸的兩個交點坐標時,可設解析式為兩根式:y=a(x-x)(x-x)(a≠0)。
學習方法
知識要點
1.要理解函式的意義。
2.要記住函式的幾個表達形式,注意區分。
3.一般式,頂點式,交點式,等,區分對稱軸,頂點,圖像,y隨著x的增大而減小(增大)(增減值)等的差異性。
4.聯繫實際對函式圖象的理解。
5.計算時,看圖像時切記取值範圍。
6.隨圖象理解數字的變化而變化。 二次函式考點及例題
二次函式知識很容易與其他知識綜合套用,而形成較為複雜的綜合題目。因此,以二次函式知識為主的綜合性題目是中考的熱點考題,往往以大題形式出現。
誤區提醒
(1)對二次函式概念理解有誤,漏掉二次項係數不為0這一限制條件;
(2)對二次函式圖像和性質存在思維誤區;
(3)忽略二次函式自變數取值範圍;
(4)平移拋物線時,弄反方向 。
定義與表達式
一般地,自變數x和因變數y之間存在如下關係:
y=ax²+bx+c
(a,b,c為常數,a≠0,且a決定函式的開口方向,a>0時,開口方向向上,a<0時,開口方向向下,IaI還可以決定開口大小,IaI越大開口就越小,IaI越小開口就越大.)
則稱y為x的二次函式。
二次函式表達式的右邊通常為二次三項式。
三種表達式
一般式:y=ax²+bx+c(a,b,c為常數,a≠0)
頂點式:y=a(x-h)²+k[拋物線的頂點P(h, k)]
交點式:y=a(x-x)(x-x)[僅限於與x軸有交點A(x,0)和B(x,0)的拋物線]
註:在3種形式的互相轉化中,有如下關係:
二次函式
二次函式
二次函式, ,
拋物線的性質
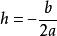
二次函式1.拋物線是軸對稱圖形。對稱軸為直線
二次函式。
對稱軸與拋物線唯一的交點為拋物線的頂點P。
特別地,當b=0時,拋物線的對稱軸是y軸(即直線x=0)
2.拋物線有一個頂
二次函式點P,坐標為
二次函式
二次函式當 時,P在y軸上;當 時,P在x軸上。
3.二次項係數a決定拋物線的開口方向,|a|決定拋物線開口大小。
當a>0時,拋物線開口向上;當a<0時,拋物線開口向下
|a|越大,則拋物線的開口越小。
4.一次項係數b和二次項係數a有1個交點。
5.常數項c決定拋物線與y軸交點。
拋物線與y軸交於(0,c)
拋物線與x軸
交點個數
Δ=b²-4ac>0時,拋物線與x軸有2個交點。
Δ=b²-4ac=0時,拋物線與x軸有1個交點。
Δ=b²-4ac<0時,拋物線與x軸沒有交點。
係數表達的意義
a決定拋物線的開口方向和大小.當a>0時,拋物線向上開口;當a<0時,拋物線向下開口.
b和a共同決定對稱軸的位置.當a與b同號時(即ab>0),對稱軸在y軸左;當a與b異號時(即ab<0),對稱軸在y軸右.
c決定拋物線與y軸交點.拋物線與y軸交於(0,c)
盤點高中數學名詞
| 高中是大學的過渡階段,學好高中數學,才能為學好大學數學打好基礎,那我們盤點下高中數學中有哪些名詞吧。 |

