簡介
名字“nonagon”是從拉丁語(nonus,“nine”+ gonon)的前綴混合形式,在十六世紀在法國使用,17世紀在英國實用。 名字“enneagon”來自希臘語enneagonon(εννεα,“nine”+γωνον(fromγωνία=“corner”)),這個詞可以說是更正確的,儘管沒有“nonagon”常見。
正九邊形是九邊、九角相等的多邊形。同時九邊形是數學中的一種圖形,由九條線段首尾順次連線圍成的封閉圖形之一。內角為140°,外角為40°。
概念
九邊形是幾何學上所有有9條邊和9隻角的多邊形。
| 正九邊形 | |
| 類型 | 正多邊形 |
| 邊 | 9 |
| 頂點 | 9 |
| 對角線 | 27 |
| 施萊夫利符號 | {9} |
| Coxeter diagram | |
| 對稱群 | 二面體群 (D), order 2×9 |
| 面積 | 9 4π 9 ≈ 6.1818241937729a |
| 內角 (度) | 140° |
| 內角和 | 1260° |
| 對偶 | 正九邊形 (本身) |
| 特性 | 凸, 圓內接多邊形, 等邊多邊形,等角多邊形, isotoxal |
九邊形正九邊形是九邊、九角相等的多邊形。內角為140°。若邊長為a,面積 。若有正九邊形ABCDEFGHI,AE=AB+AC。
正九邊形
正九邊形由Schläfli符號{9}表示,內角為140°。 側面長度為a的正方形的面積由下式給出
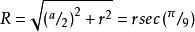
九邊形內接圓的半徑r:
九邊形並且其中R是其外接圓的半徑:
九邊形正九邊形的畫法
先畫一個圓。再畫兩個相互顛倒的內接等邊三角形(有點像6角星)。再把6角星的對角兩兩相連。得到6個與兩個等邊三角形的底邊的6個交點。選擇每一個交點為圓心,到圓內部正六邊形的底邊的任意一端點的距離為半徑,畫圓,與大圓產生2個交點。把所有交點畫出來再相連,就得到正九邊形。
拼接
正九邊形可以用間隙細分歐幾里得平鋪。 這些間隙可以用正六邊形和等腰三角形填充。 在對稱面的符號中,這個平鋪稱為H(*; 3; *; [2]),其中H表示* 632在平面中的六邊形對稱性。
九邊形圖
K9完整圖經常被繪製為連線所有36個邊緣。 該圖也表示8個單純形的9個頂點和36個邊的正投影。
九邊形建築
巴哈教信仰的寺廟必須是九邊形。
美國鋼結構塔是不規則的九邊形。

