概念
不可約多項式,顧名思義即不能寫成兩個次數較低的多項式之乘積的多項式。
有理係數的多項式,當不能分解為兩個次數大於零的有理系靈敏多項式的乘積時,稱為有理數範圍內“不可約多項式”。相應地可以定義實數係數或複數係數的不可約多項式。
“不可約”的意義隨係數範圍而不同。X2-2在有理數範圍內是不可約多項式,但在實數範圍內就是可約多項式了。
一種重要的多項式。它在多項式環中有類似於素數在整數環中的地位。對於數域P上的任意多項式f(x),P中非零數c與cf(x)總是f(x)的因式。這兩種因式稱為f(x)的平凡因式,亦稱當然因式。其他的因式,稱為f(x)的非平凡因式,亦稱非當然因式。設p(x)為P上的一個次數大於零的多項式,如果在P上p(x)只有平凡因式,則稱p(x)在P上(或P[x]中)不可約,亦稱p(x)是P上的不可約多項式,或既約多項式;如果p(x)除平凡因式外,在P上還有其他因式,則稱p(x)在P上(或在P[x]中)可約,亦稱p(x)是P上的可約多項式。一個多項式是否可約,與其基域有關。例如,x-2在有理數域上不可約,但在實數域上可約,因為此時它有非平凡因式x+與x-。
數域P上的不可約多項式有如下的基本性質:
1。若p(x)不可約,且c≠0,c∈P,則cp(x)也不可約。
2。若p(x)不可約,f(x)是任一多項式,則(p(x),f(x))=1或者p(x)|f(x)。
3。若p(x)不可約,且p(x)|f(x)g(x),則p(x)|f(x)或者p(x)|g(x)。
判定
定理1
不可約多項式愛森斯坦判別法:設 是整係數多項式,若有一個素數p使得:
(1)p不能整除a
不可約多項式(2)p整除
不可約多項式
不可約多項式(3) 不能整出
不可約多項式那么 在有理數域上不可約。
註:定理1的證明通常採用 “ 反證法”
定理2
不可約多項式愛森斯坦判別法的等價判別定理:設 是整係數多項式,若有一個素數p使得:
不可約多項式(1)p不能整除
不可約多項式(2)p整除
不可約多項式
不可約多項式(3) 不能整出
那么f(x)在有理數域上不可約。
註: 定理1和定理2 都只是判定整係數多項式在有理數域上不可約的 充分不必要條件, 這就是說不滿足定理1和定理2的判定條件的多項式可能是不可約的。
性質
不可約多項式
不可約多項式1、 不可約,則對任意 。
不可約多項式
不可約多項式2、 不可約,則對任意的非零c∈p,c 不可約。
不可約多項式
不可約多項式
不可約多項式
不可約多項式3、(1) p(x)不可約,則對任意的f,g∈ , ,得到 或 。
不可約多項式
不可約多項式
不可約多項式
不可約多項式(2)аp>0,對任意f,g∈ , 可推出得到 或 ,得到p是不可約多項式。
證明
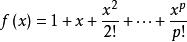
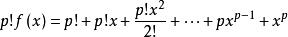
不可約多項式例1。若p為質數,求證有理係數多項式 在有理數域上不可約。
不可約多項式證明: 是整係數多項式
不可約多項式
不可約多項式
不可約多項式
不可約多項式
不可約多項式因為P為質數,整係數多項式 符合愛森斯坦判別法,所以整係數多項式 在整數環上不可約,即整係數多項式 在有理數域上不可約。由此可得多項式 在有理數域上不可約。
套用
若m,n為自然數,且m,求證不是任意m次整係數多項式的根。
不可約多項式
不可約多項式證明:根據愛森斯坦判別法可知,多項式 是一個在有理數域上不可約n次多項式,且是多項式 的根。
不可約多項式因為 ,則對任意的m次多項式g(x),總有多項式f(x),g(x)互素;
不可約多項式
不可約多項式即多項式f(x),g(x)沒有公共根,所以 不是任意m次多項式的根( )。

