定義
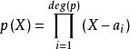
多項式分裂域域K上的多項式分裂域 是K的擴展域,其中p因子成為線性因子。
多項式分裂域對於每個i我們有
多項式分裂域
多項式分裂域
多項式分裂域其中 不一定是不同的,並且使得根 在K上產生L。擴展域L是在K上的最小維度的擴展,其中p分裂。 可以看出,這樣的分裂域存在並且是同構的。 這種同構的自由度被稱為p的伽羅瓦群(如果我們假設它是可分離的)。
事實
作為K上的一組多項式p(X)的分裂域的擴展域L被稱為K的正常擴展。
給定包含K的代數閉合域A,在K和A之間有一個第一無二的p的分裂域L,它們是由p的根生成的。如果K是複數的子域,那么它就是存在的。另一方面,代數閉包的存在通常通過從分裂域結果“傳遞到極限”來證明,因此需要獨立的證據來避免循環推理。
給定K的可分離延伸K',K'的伽羅瓦閉包L是分裂域的一種類型,並且在顯著意義上也是包含K'的K的伽羅瓦擴展。 這樣的伽羅瓦閉包應該包含K的所有多項式p的分裂域。
構建分裂域
目的
多項式分裂域從古希臘時代起,尋找多項式的根一直是一個重要問題。 然而,一些多項式,例如實數域上的 ,實數域上沒有根。 通過構建這樣的多項式的分裂域,可以在新的域中找到多項式的根。
構建
多項式分裂域
多項式分裂域
多項式分裂域
多項式分裂域令F為域,p(X)是維度為n的多項式環中的多項式。 構建K的一般過程是構造一個域F的序列 ,使得 是包含p(X)的新根的 的擴展。 由於p(X) 的根最多為n個,所以構建最多需要n個擴展。 構建 的步驟如下:
多項式分裂域
多項式分裂域(1)將 上的p(X) 因式分解為不可約因子 。
多項式分裂域(2)選擇任何非線性不可約因子 。
多項式分裂域
多項式分裂域
多項式分裂域
多項式分裂域(3)構建 的擴展域 作為商環 ,其中(f(X)) 表示由f(X) 生成的
多項式分裂域(4)對 重複以上過程直到p(X) 成為完全因子。
多項式分裂域商構建中使用的不可約因子 可以任意選擇。 雖然不同的因素選擇可能導致不同的子域序列,但是所得到的分裂域將是同構的。
多項式分裂域
多項式分裂域由於f(X) 是不可約的,所以(f(X)) 是最大理想,因此實際上 是一個域。 此外,如果我們令: 是環到其商的自然投影。
多項式分裂域所以π(X)是f(X) 和p(X) 的根。
多項式分裂域
多項式分裂域單個擴展域 的維度等於不可約因子 的維度。
多項式分裂域
多項式分裂域擴展 的維度由 給出並且最多是n!
域
Ki [X]/(f(X))
多項式分裂域
多項式分裂域如上所述,商環 是當 不可約時的域。 它的元素是形式
多項式分裂域
多項式分裂域
多項式分裂域
多項式分裂域其中 在 里 。
多項式分裂域
多項式分裂域
多項式分裂域
多項式分裂域
多項式分裂域
多項式分裂域
多項式分裂域
多項式分裂域
多項式分裂域
多項式分裂域
多項式分裂域的元素可以被認為是維度小於n的多項式。通過多項式加法的規則給出 中的加法,並且通過多項式乘法 給出乘法。 也就是說,對於在 中的 和 ,產物 其中 是 的剩餘部分由 中的 表示。
多項式分裂域
多項式分裂域剩餘 可以通過多項式的長分割來計算,但是也可以直接計算 的直接還原規則。 首先讓
多項式分裂域
多項式分裂域
多項式分裂域多項式在一個域上,所以可以使 變為摩尼而不失一般性。 現在α是 的根,所以
多項式分裂域
多項式分裂域
多項式分裂域
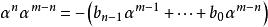
多項式分裂域如果產品 具有m≥n的項 ,則可以減少如下:
多項式分裂域舉例
複數
多項式分裂域
多項式分裂域
多項式分裂域
多項式分裂域
多項式分裂域
多項式分裂域
多項式分裂域
多項式分裂域
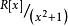
多項式分裂域考慮多項式環 和不可約多項式 。商環 由等式 給出。 因此, 的元素(或等價類)是 的形式,其中a和b屬於R。請注意,由於 ,接下來有 等; 因此,例如 。
多項式分裂域加法和乘法運算首先使用普通多項式加法和乘法,然後減少模 ,即使用
多項式分裂域
多項式分裂域, 等。因此:
多項式分裂域
多項式分裂域
多項式分裂域
多項式分裂域如果我們用 識別 ,那么我們看到加法和乘法由下面給出
多項式分裂域
多項式分裂域
多項式分裂域
多項式分裂域
多項式分裂域我們聲稱,作為一個域,商 與複數是同構的。一般複數形式為 ,其中a和b是實數, 。 加法和乘法由
多項式分裂域
多項式分裂域相應的,也可以寫成括弧的形式。
多項式分裂域
多項式分裂域
多項式分裂域
多項式分裂域
多項式分裂域以前的計算表明,加法和乘法在 和C中的方式相同。實際上,我們看到 與C之間的映射 是相加和乘法的同態。意味著 是雙射同態,即同構。 因此,如所要求的: 。
在1847年,柯西使用這種方法來定義複數。
立方的例子
多項式分裂域
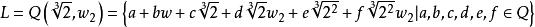
多項式分裂域令K為有理數域Q並且 。p的每個根等於 倍立方體的單位根。 因此,如果我們表示統一的立方體根:
多項式分裂域
多項式分裂域
多項式分裂域
多項式分裂域包含p的兩個不同根的任何域將包含兩個不同的立方體根之間的商。 這樣一個商就是一個原始的立方根,即 或 。 因此,p的分裂域L將包含 ,以及2的真實立方根;相反,包含這些元素的Q的任何擴展都包含p的所有根。 從而
多項式分裂域
多項式分裂域
多項式分裂域
多項式分裂域
多項式分裂域
多項式分裂域
多項式分裂域請注意,將上一節中概述的構建過程套用於此示例,從 開始構建該域 。此域不是分裂域,但包含一個(任意)根。然而,多項式 在 上不是不可約的。請注意,X不是不確定的,實際上是 的元素。現在,繼續這個過程,我們得到 這確實是分裂域。
