定義
高斯引理:如果給定的兩個多項式是本原多項式,則它們的乘積本原 。進一步的,多個本原多項式之乘積也是本原的。
高斯引理在代數(特別是環理論),如果一個整係數多項式的所有係數是互素的,則稱它是一個本原多項式,本原多項式對判定不可約多項式有很大幫助,高次多項式的不可約多項式判定一直是個未完全解決的難題。
證明
【證】:通常採用的證明是反證明的方法 。只需假定乘積不是本原的,那么必定乘積多項式的係數存在大於1的公約數,換言之,必然存在素數 p整除乘積多項式的所有係數。設:
多項式高斯引理
多項式高斯引理由多項式乘法,乘積多項式 可寫為和式:
多項式高斯引理
多項式高斯引理因為 本原,所以不妨設:
多項式高斯引理
多項式高斯引理記為(*)式。
多項式高斯引理
多項式高斯引理
多項式高斯引理
多項式高斯引理根據假設 本原,可知 ,對於一切 。僅需要考慮 的情形,
多項式高斯引理
多項式高斯引理
多項式高斯引理
多項式高斯引理
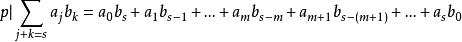
多項式高斯引理這時候,考察 部分。注意到 有 ,因此上式可進一步處理為:
多項式高斯引理
多項式高斯引理
多項式高斯引理
多項式高斯引理
多項式高斯引理
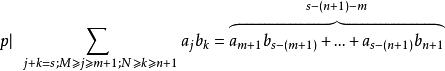
多項式高斯引理這要求求和項數非負:。否則滿足和式展開條件的求和項不存在,和式為零——即在時必有,而這些求和項不是我要討論的對象——考察的情形,這時候:
多項式高斯引理
多項式高斯引理
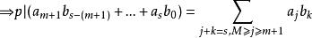
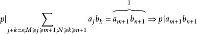
多項式高斯引理這導致或者,或者,這與假設的(*)式矛盾。
再由數學歸納法可以證明,多個本原多項式之乘積本原
Q.E.D.
