定義
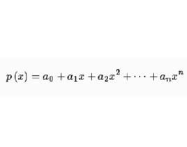
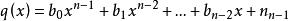
我們把形如
整係數多項式
整係數多項式
整係數多項式
整係數多項式
整係數多項式
整係數多項式
整係數多項式
整係數多項式
整係數多項式
整係數多項式
整係數多項式
整係數多項式
整係數多項式
整係數多項式
整係數多項式
整係數多項式
整係數多項式
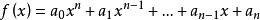
整係數多項式的表達式叫做x的多項式,記為 ,其中n是正整數,x是一個符號(或文字), 都是常數,叫做 的 係數, 還叫做 的 常數項。 叫做 一個項,k叫做這一項的 次數。當 時, 叫做 的 首 項, 叫做 首項係數,n叫做 的次數,記為次 .如果 的係數全為零,則把 叫做 零多項式,記為0。我們認為零多項式沒有次數,若 ,則說 是零次多項式。
整係數多項式
整係數多項式
整係數多項式
整係數多項式
整係數多項式如果多項 的係數 都是整數,我們把 叫做 整係數多項式,如果 的係數都是有理數,就把 叫做 有理係數多項式。同樣地,可以定義 實係數 多項式和 復係數多項式。
相關性質
定理1
整係數多項式
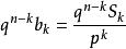
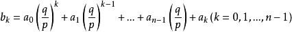
整係數多項式(整係數多項式有理根的性質) 若既約分數 為整係數多項式 的根,則:
整係數多項式
整係數多項式(1) 且 ;
整係數多項式
整係數多項式(2) 除以 所得的商的各項係數必為p的倍數。
整係數多項式
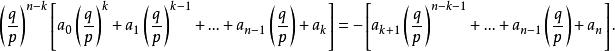
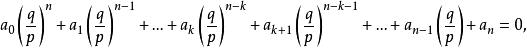
整係數多項式證明:因為 為 的根。
所以,由因式定理,有
整係數多項式其中
整係數多項式為有係數多項式。由此可得
整係數多項式可化為
整係數多項式由根的意義,有
整係數多項式可化為
整係數多項式故得
整係數多項式①
整係數多項式
整係數多項式
整係數多項式
整係數多項式可知 為整數,但 ,故 為整數,又 時,式①變為
整係數多項式由此得
整係數多項式推論1
最高次項係數為1的整係數多項式的有理根必為整數。
推論2
整係數多項式
整係數多項式
整係數多項式
整係數多項式若既約分數 為整係數多項式 的根,則除以 所得的商為整係數多項式。
定理2
整係數多項式
整係數多項式
整係數多項式
整係數多項式
整係數多項式
整係數多項式
整係數多項式
整係數多項式求整係數多項式 的有理根的主要依據,其方法是:首先按定理1的結論(1)或其他有關條件找出有理根的一切可能根 ,然後採用綜合除法將 除以 ,根據因式定理,若且唯若 整除 時, 為有理根,除的過程中,如發現商的係數非p的倍數,則根據定理1的結論(2), 非有理根,可不必再除下去。
整係數多項式
整係數多項式例1設,求證:為無理數。
整係數多項式
整係數多項式證明:是整係數多項式的一根,
整係數多項式可能的有理根為±1,±2,但
整係數多項式
整係數多項式所以無有理數根。
定理3
整係數多項式
整係數多項式
整係數多項式
整係數多項式設 為有理係數多項式, 與 有公共根a,則。
整係數多項式
整係數多項式
整係數多項式
整係數多項式定理3的意義是,若有理係數不可約多項式有一根為另一有理係數多項式 的根,則 的全部根均為 的根。
推論3
整係數多項式
整係數多項式
整係數多項式
整係數多項式
整係數多項式
整係數多項式如果有理係數多項式 有無理根 ( , 為無理數, ),則必有無理根。
推論4
整係數多項式
整係數多項式
整係數多項式
整係數多項式
整係數多項式如果有理係數多項式 有無理根 ( 為無理數且非同類根式),則必有無理根 及。

