定義
三次方根,讀作“三次根號a”,這個根式表示的數即稱為a的立方根。其中,a叫做被開方數,3叫做根指數。
求一個數a的立方根的運算叫做開立方 。
所有實數都有且只有一個立方根。
正數的立方根是正數,負數的立方根是負數,0的立方根是0。
三次方根性質
(1)正數的立方根是正數,負數的立方根是負數,0的立方根是0 。
(2)在實數範圍內,任何實數的立方根只有一個。
(3)在實數範圍內,負數不能開平方,但可以開立方。
(4)立方與開立方運算,互為逆運算。
(5)在複數範圍內,任何非0的數都有且僅有3個立方根(一實根,二共軛虛根),它們均勻分布在以原點為圓心,算術根為半徑的圓周上,三個立方根對應的點構成正三角形。
(6)在複數範圍內,負數既可以開平方,又可以開立方。
大小比較
(1)做這兩個數的立方,立方數大者大 ;
(2)作差,即兩數相減,
若差大於0,則被減數大;
若差小於0,則減數大;
若差等於0,則一樣大;
(3)比較被開方數,立方根大者大(如三次根號3大於三次根號2)。
立方根數值
以下數值均取6位有效數字,正被開方數取正值,負被開方數取負值:
±1:±1.00000
±2:±1.25992
±3:±1.44225
±4:±1.58740
±5:±1.70998
±6:±1.81712
±7:±1.91293
±8:±2.00000
±9:±2.08008
±10:±2.15443
±11:±2.22398
±12:±2.28943
±13:±2.35133
±14:±2.41014
±15:±2.46621
±16:±2.51984
±17:±2.57128
區別聯繫
兩者區別:
(1)定義不同
三次方根平方根:如果一個數的平方等於 a,那么這個數就叫 a 的平方根或二次方根,即如果 ,那么 x 就叫 a 的平方根;
三次方根立方根:如果一個數的立方等於 a,那么這個數叫做 a 的立方根或三次方根,即如果,那么 x 叫做 a 的立方根。
(2)表示方法不同
三次方根
三次方根平方根用“ ”表示,根指數 2 可以省略;算術平方根用“”表示,根指數 2 可以省略;
三次方根
三次方根立方根用“”表示,根指數 3 不能略去,更不能寫成“”。
(3)存在的條件不同
a 有平方根的條件:a≥0,因為正數、零、負數的平方都不是負數,故負數沒有平方根和算術平方根;
a 有立方根的條件:a 為全體實數,即正數、負數、零均可。
(4)結果不同
平方根的結果除0之外,有兩個互為相反的結果;
立方根的結果有3個(除0以外,且在複數範圍內),3個立方根均勻分布在以原點為圓心,算術根為半徑的圓周上,三個立方根對應的點構成正三角形。
兩者聯繫:
二者都是與乘方運算互為逆運算
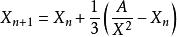
開立方的公式
三次方根若設,求X稱為開立方。開立方有一個標準的公式:
三次方根例如,A=5,即求5介於1的3次方至2的3次方之間(1的3次方=1,2的3次方=8)
初始值X0可以取1.1,1.2,1.3,1.4,1.5,1.6,1.7,1.8,1.9都可以。例如我們取X0 = 1.9按照公式:
第一步:X1=1.9+(5/1.9^2-1.9)1/3=1.7。
即5/1.9×1.9=1.3850416,1.3850416-1.9=-0.5149584,-0.5149584×1/3=-0.1716528,1.9+(-0.1716528)=1.7。即取2位數值,即1.7。
第二步:X2=1.7+(5/1.7^2-1.7)1/3=1.71。
即5/1.7×1.7=1.73010,1.73-1.7=0.03,0.03×1/3=0.01,1.7+0.01=1.71。取3位數,比前面多取一位數。
第三步:X3=1.71+(5/1.71^2;-1.71)1/3=1.709
第四步:X4=1.709+(5/1.709^2;-1.709)1/3=1.7099
這種方法可以自動調節,第一步與第三步取值偏大,但是計算出來以後輸出值會自動轉小;第二步,第四步輸入值偏小,輸出值自動轉大。即5=1.7099^3;
當然初始值X0也可以取1.1,1.2,1.3,1.8,1.9中的任何一個。當然,我們在實際中初始值最好採用中間值,即1.5。1.5+(5/1.5^2;-1.5)1/3=1.7。

