定義
一
齊次方程1、所含各項關於未知數具有相同次數的方程,例如等。它們的左端,都是未知數的齊次函式或齊次多項式。2、右端為零的方程(組)亦稱為齊次方程(組),例如線性齊次(代數)方程組、齊次微分方程等。
二
齊次方程
齊次方程
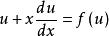
齊次方程1、線性方程乘積的導數。 或 等等為線性方程當 時稱為齊次方程。
齊次方程
齊次方程
齊次方程
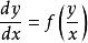
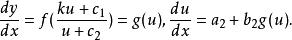
齊次方程2、如果一個一階微分方程 中的函式 可寫成 的函式,即 ,則這個方程是齊次方程。
釋義
“齊次”從詞面上解釋是“次數相等”的意思。
微分方程中有兩個地方用到“齊次”的叫法:
齊次方程
齊次方程
齊次方程
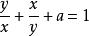
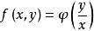
齊次方程1、形如 的方程稱為“齊次方程”,這裡是指方程中每一項關於x、y的次數都是相等的,例如 都算是二次項,而 算0次項,方程 中每一項都是0次項,所以是“齊次方程”。
齊次方程
齊次方程2、形如 (其中p和q為關於x的函式)的方程稱為“齊次線性方程”,這裡“線性”是指方程中每一項關於未知函式y及其導數y',y'',……的次數都是相等的(都是一次),“齊次”是指方程中沒有自由項(不包含y及其導數的項),方程 就不是“齊次”的,因為方程右邊的項x不含y及y的導數,因而就要稱為“非齊次線性方程”。
齊次方程另外線上性代數裡也有“齊次”的叫法,例如 稱為二次齊式,即二次齊次式的意思,因為f中每一項都是關於x、y的二次項。
形式
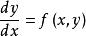
如果一階微分方程
齊次方程
齊次方程
齊次方程
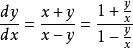
齊次方程中的函式 可寫成 的函式,即 ,則稱這方程為齊次方程。例如
齊次方程是齊次方程,因為其可化為
齊次方程特點解法
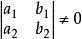
齊次方程(1)特點:方程中每一項的次方相同,且都可以化為一般形式 。
齊次方程
齊次方程
齊次方程
齊次方程
齊次方程
齊次方程
齊次方程(2)解法:令 ,即 ,則 ,於是原方程可化為 ,即 ,成為可分離變數的微分方程,求解後再用 代替 即得原方程的通解。
微分方程
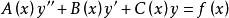
齊次方程形如方程
齊次方程
齊次方程
齊次方程
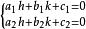
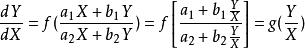
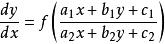
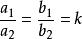
齊次方程其中 為常數,且 .當 時,令 ,由
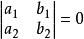
齊次方程解出h與k,可將原方程化為齊次方程
齊次方程
齊次方程
齊次方程
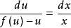
齊次方程當 時,即 ,可設 ,代入原方程後可化為可分離變數的微分方程,既有
齊次方程
