定義
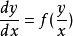
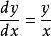
齊次微分方程形如 的一階微分方程稱為齊次微分方程,簡稱微分方程。
方程特點
齊次微分方程齊次微分方程的特點是其右端項是以為變元的連續函式。
齊次微分方程
齊次微分方程
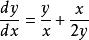
齊次微分方程例如, 是齊次微分方程,它可以轉化為:,即。
方程的解
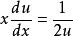
齊次微分方程通過變數代換,可化為可分離變數微分方程來求解。
齊次微分方程
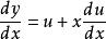
齊次微分方程令或,
齊次微分方程
齊次微分方程
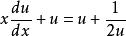
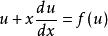
齊次微分方程其中是新的未知函式,對兩邊求導,則有:,
齊次微分方程
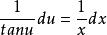
齊次微分方程將其代入,得:,
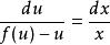
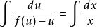
齊次微分方程分離變數,得:
齊次微分方程兩邊積分,得:,
齊次微分方程
齊次微分方程求出積分後,再將回代,便得到方程的通解。
求解步驟
齊次微分方程(1)作變換,將齊次方程轉化為分離變數的微分方程;
(2)求解可分離變數的微分方程;
齊次微分方程
齊次微分方程(3)用代替步驟(2)中所求通解中的(即變數還原),就可以得到原方程的通解。
注意事項
齊次微分方程
齊次微分方程
齊次微分方程
齊次微分方程
齊次微分方程
齊次微分方程
齊次微分方程
齊次微分方程
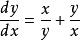
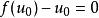
齊次微分方程如果有,使得,則顯然也是方程的解,從而也是方程的解;如果,則方程變成,這是一個可分離變數微分方程。
典例
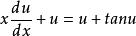
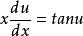
例1
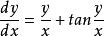
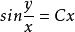
齊次微分方程求解方程。
齊次微分方程
齊次微分方程
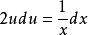
齊次微分方程解:令,則,,
齊次微分方程
齊次微分方程原方程變為:,即;
齊次微分方程分離變數可得:,
齊次微分方程左右兩端同時積分可得:,
齊次微分方程
齊次微分方程將 代入,便可得到原方程的通解為:,其中 C 為任意常數。
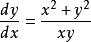
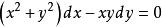
例2
齊次微分方程求方程的通解。
齊次微分方程
齊次微分方程
齊次微分方程解:令,則,,
齊次微分方程
齊次微分方程原方程變為:,即;
齊次微分方程分離變數可得:,
齊次微分方程左右兩端同時積分可得:,
齊次微分方程
齊次微分方程將 代入,便可得到原方程的通解為:,其中 C 為任意常數。

