基本介紹
齊次一階微分方程
齊次一階微分方程
齊次一階微分方程
齊次一階微分方程
齊次一階微分方程
齊次一階微分方程
齊次一階微分方程如果對任何都有,則稱是x和y的 齊次函式,如果取,則。這就是說齊次函式可改寫為的形式。
齊次一階微分方程
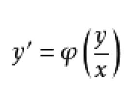
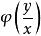
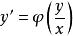
齊次一階微分方程一階微分方程(其中,為齊次函式)就叫做 齊次(一階微分)方程。或者說,方程
齊次一階微分方程是齊次方程。此外,如果在微分方程的每一項中,因子x和y的冪次的總和都是相等的,則該方程就是 齊次方程。
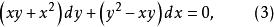
例如
齊次一階微分方程
齊次一階微分方程
齊次一階微分方程都是齊次方程。事實上,式(2)各項同除x,式(3)各項同除以,則式(2)和(3)可分別化為
齊次一階微分方程或
齊次一階微分方程和
齊次一階微分方程或
齊次一階微分方程另外,方程
齊次一階微分方程也是齊次方程。事實上,方程(4)右端分子和分母同除以x,則得到齊次方程
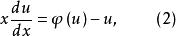
齊次一階微分方程一般解法
齊次一階微分方程關於齊次方程的一般解法如下 :
齊次一階微分方程
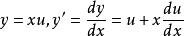
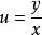
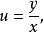
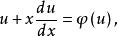
齊次一階微分方程令所以,代入方程(1),得
齊次一階微分方程即有
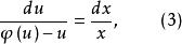
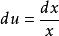
齊次一階微分方程方程(2)為可分離變數方程,於是
齊次一階微分方程方程(3)兩端積分,得
齊次一階微分方程上述等式可改寫為
齊次一階微分方程
齊次一階微分方程把代入式(4),則得到方程(1)的隱式通解
齊次一階微分方程
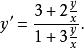
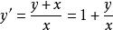
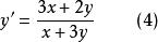
齊次一階微分方程例1求方程的通解。
齊次一階微分方程
齊次一階微分方程
齊次一階微分方程
齊次一階微分方程
齊次一階微分方程
齊次一階微分方程
齊次一階微分方程
齊次一階微分方程
齊次一階微分方程
齊次一階微分方程
齊次一階微分方程解:方程,令,所以,於是方程變為,即,所以。積分得通解,即。也可以把方程的隱式通解改寫為顯式通解。事實上,因為,所以。

