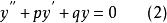
一般形式
二階微分方程的一般形式是
二階微分方程其中,x是自變數,y是未知函式,y'是y的一階導數,y''是y的二階導數。
可降階方程
在有些情況下,可以通過適當的變數代換,把二階微分方程化成一階微分方程來求解。具有這種性質的微分方程稱為可降階的微分方程,相應的求解方法稱為降階法。下面介紹三種容易用降階法求解的二階微分方程。
1)y''=f(x)型
方程特點:右端僅含有自變數x,逐次積分即可得到通解,對二階以上的微分方程也可類似求解。
例1 求方程y''=e -cosx的通解。
解:原方程兩邊積分兩次,得通解
二階微分方程其中,C,C為任意常數。
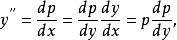
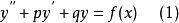
2)y''=f(x,y')型
方程特點:右端函式表達式中不含有未知函式y。
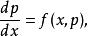
由於y'也是x的未知函式,可設p(x)=y',則原方程可降階為
二階微分方程這是關於p的一階微分方程,可求通解。
3)y''=f(y,y')型
方程特點:右端函式表達式中不含有自變數x。
令y'=p(y),利用複合函式求導法則
二階微分方程原方程變為關於y,p的一階方程
二階微分方程線性微分方程
一般形如
二階微分方程
二階微分方程(其中,f(x)是x的函式)的方程稱為 二階常係數線性微分方程。
當f(x)=0時,方程
二階微分方程稱為 二階常係數線性齊次微分方程;否則,方程(1)稱為 二階常係數線性非齊次微分方程。
1)二階常係數線性 齊次微分方程的解
定理1(線性齊次微分方程通解的結構定理)如果函式y(x)與y(x)是(2)的兩個線性無關的解,則函式
二階微分方程是齊次方程(2)的通解。(其中,C、C為兩個獨立的任意常數)
二階微分方程微分方程 的通解與其特徵根的關係見下表1。
表1 齊次微分方程通解與其特徵根的關係2)二階常係數線性 非齊次微分方程的解
定理2(線性非齊次微分方程通解的結構定理)如果y是非齊次微分方程(1)的一個特解,而y*是對應的齊次微分方程(2)的通解,則y=y+y*是方程(1)的通解。
對於比較簡單的情形,可以用觀察法找特解。但對於比較複雜的情形就不太容易了。為此,下面對於f(x)的幾種常見形式,以表2列出找其特解的方法(待定係數法)(表2中P(x)=a+ax+ax +...+ax 為已知的多項式)。
表2 非齊次微分方程特解形式與f(x)的關係
表2 非齊次微分方程特解形式與f(x)的關係
