簡介
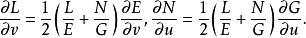
在曲面的正交參數系(即F= 0)下高斯方程是
高斯方程
高斯方程在曲面上取正交曲率線網作為參數曲線網(即 )時,科達齊方程是
高斯方程
高斯方程
高斯方程
高斯方程
高斯方程
高斯方程給定兩個二次微分形式 和 ,假定 是正宗的,如果它們滿足高斯方程和科達齊方程,則在三維歐幾里得空間中存在一張以 為他的第一基本型、以 為它的第二基本型,並且這樣的曲面至多差在空間中的位置不同是唯一確定的。這個定理稱為曲面倫基本定理 (fundamental theorem for surface theory)。
第二基本型
[second fundamental form]
定義
高斯方程
高斯方程正則參數曲面 上的二次微分式 稱為曲面的第二基本型(也稱為第二基本形式),其中
高斯方程
高斯方程
高斯方程幾何意義
高斯方程
高斯方程
高斯方程
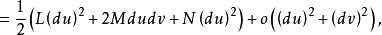
高斯方程第二基本型的直觀幾何意義是:曲面上點 的鄰近點 到曲面在點 處的切平面的有向距離近似等於 ,即
高斯方程
高斯方程
高斯方程
高斯方程式中, 是高於 的無窮小量。
套用
第一基本型和第二基本型合在一起用來描述三維歐兒里得空間中曲面的形狀和大小,由此派生出曲面的各種曲率的概念,見法曲率,主曲率、中曲率和高斯曲率等。
另外,第一基本型和第二基本型構成曲面的完全不變數系統。即:如果兩張曲面有相同的第一基本型和第二基本型,則它們在三維歐幾里得空間的一個剛體運動下能夠完全重合。
但是曲面的第一基本型和第二基本型不是彼此獨立的,它們之間有深刻的內在聯繫。通常把曲面的第一基本型和第二基本型所滿足的關係式稱為高斯方程(Gauss equation) 和科達齊方程(Codazzi equations)。

