簡介
高斯單位制(CGS),又稱混合單位制,又稱厘米克秒制(centimetre-gram-secondsystem),簡稱高斯制。高斯制在電磁學中有兩套單位制,一套以庫侖定律為基礎,稱為靜電制,記作CGSE;另一套以安培定律為基礎,成為靜磁製,記作CGSM。在高斯單位制中,與點電荷有關的公式都很簡單,在實際套用中比較方便,所以有些書刊仍然採用高斯單位制。
主要內容
基本單位如右圖。
![]() |
| 國際制和高斯制基本單位 |

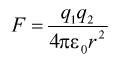
而在靜電制中寫作:

為什麼兩者差一串係數呢?因為在國際制中,電荷的單位是C,而在高斯制中,電荷的單位是esu,兩者的轉換關係是:1C=2.9979E9(esu);或者:1esu=3.3356E-10(C)。
靜磁學中的安培定律在國際制和靜磁製中的表達式也是不同的。安培定律描述兩根相距r,攜帶電流的導線之間的相互作用力。表達式如下。

國際制中電流是A,高斯之中是emu.兩者的轉換關係是:1A=0.1emu;1emu=10A。
最後列表總結。
![]() |
| 電磁學物理量 |


