定義
雙線性變換
雙線性變換雙線性變換是一種特別的共行映射(即莫比烏斯變換),常被用來將線性非時變系統濾波器在連續時域的傳遞函式轉換成線性且平移不變濾波器在離散時域的傳遞函式。將S平面中位置在軸的點映射到複數平面上的單位圓。其他的套用還有扭曲任何的離散時間線性系統的頻率回響(例如用來估計人類聽覺系統的非線性頻率清晰度)或是被用在離散域以取代一個系統經過一階全通濾波器的單位延遲。
這種變換保有穩定性且將連續時間濾波器的頻率回響中每一點映射到離散時間濾波器的頻率回響中所對應的點,雖然頻率會有點不同,這部分會在之後的頻率扭曲中解釋。對於模擬濾波器的頻率回響中所看到的特徵,在數字濾波器的頻率回響中都有相同增益和相位平移的對應特徵,雖然頻率可能會有點不同,在低頻時很難觀察到但在頻率接近奈奎斯特頻率時就相當明顯。
離散時間估計
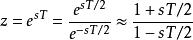
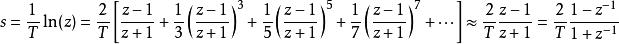
雙線性變換是自然對數函式的一階估計法,也就是將 z平面映射到 s平面,當拉普拉斯變換被用在離散時間信號上(將離散時間串列中的每個元素附在對應的延遲狄拉克δ函式),其結果確實為將離散時間串列的Z轉換替代成
雙線性變換
雙線性變換其中T是用在推導雙線性變換的梯形公式中數值積分每階的大小,換句話說就是採樣間距。上述的雙線性估計可以透過 s來解或是產生一個近似估計。
逆映射則為
雙線性變換
雙線性變換雙線性變換的本質是使用這種一階估計法且將連續時間傳遞函式中的s替換成
雙線性變換也就是說
雙線性變換保留性質
保留穩定性及最小相位性質
如果有一個連續時間且有因果性的濾波器,其傳遞函式的極點落在複數S平面的左半邊,此濾波器則為穩定的。如果有一個離散時間且有因果性的濾波器,其傳遞函式的極點落在複數Z平面的單位圓內,此濾波器則為穩定的。雙線性變換將複數S平面的左半邊映射到複數Z平面的單位圓內,因此穩定的連續時間濾波器被轉變成離散時間濾波器後也保有穩定性。
同樣地,如果有一個連續時間的濾波器,其傳遞函式的零點落在複數S平面的左半邊,此濾波器則有最小相位性質。如果有一個離散時間且有因果性的濾波器,其傳遞函式的零點落在複數Z平面的單位圓內,此濾波器則有最小相位性質。透過相同的映射性質,可以保證有最小相位性質的連續時間濾波器被轉換成離散時間濾波器後也保有最小性質。
例子
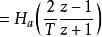
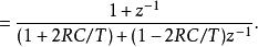
以一個簡單的低通RC電路當例子,這種連續時間濾波器的傳遞函式為
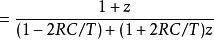
雙線性變換如果我們想將這種濾波器套用成數字濾波器,我們可以將上式中的{\displaystyle s}做替換,因此可以得到下列表示式
雙線性變換 | 雙線性變換 |
雙線性變換 | |
雙線性變換 | |
雙線性變換 |
在套用在即時數字濾波器時,分母的係數為’反饋係數’而分子的係數為’前饋係數’。
雙二階變換
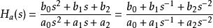
將連續時間的模擬濾波器的係數對應到由雙線性變換展成的相似的離散時間數字濾波器是有可能的,假設有一個傳遞函式為下式的一般二階連續時間濾波器
雙線性變換利用下列替換方法做雙線性變換
雙線性變換
雙線性變換其中
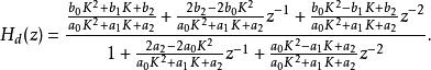
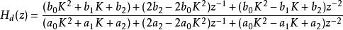
其結果為一個離散時間的數字雙二階濾波器,且由原本連續時間濾波器的係數所組成的表達式如
雙線性變換一般而言,在推導對應的差分方程式前,分母的常數項會被標準化為1
雙線性變換
雙線性變換
雙線性變換
雙線性變換
雙線性變換
雙線性變換 