介紹
二次型是 n個變數上的二次齊次多項式。下面給出一個、兩個、和三個變數的二次形式:
二次型
二次型
二次型其中 a, ..., f是係數。注意一般的二次函式和二次方程不是二次形式的例子,因為它們不總是齊次的。
任何非零的n維二次形式定義在投影空間中一個 (n-2)維的投影空間。在這種方式下可把3維二次形式可視化為圓錐曲線。
術語二次型也經常用來提及 二次空間,它是有序對( V, q),這裡的 V是在域 k上的向量空間,而 q: V→ k是在 V上的二次形式。例如,在三維歐幾里得空間中兩個點之間的距離可以採用涉及六個變數的二次形式的平方根來找到,它們是這兩個點的各自的三個坐標。
二次型歷史
二次型的系統研究是從18世紀開始的,它起源於對二次曲線和二次曲面的分類問題的討論,將二次曲線和二次曲面的方程變形,選有主軸方向的軸作為坐標軸以簡化方程的形狀,這個問題是在18世紀引進的。柯西在其著作中給出結論:當方程是標準型時,二次曲面用二次型的符號來進行分類。然而,那時並不太清楚,在化簡成標準型時,為何總是得到同樣數目的正項和負項。西爾維斯特回答了這個問題,他給出了n個變數的二次型的慣性定律,但沒有證明。這個定律後被雅克比重新發現和證明。1801年,高斯在《算術研究》中引進了二次型的正定、負定、半正定和半負定等術語。
二次型化簡的進一步研究涉及二次型或行列式的特徵方程的概念。特徵方程的概念隱含地出現在歐拉的著作中,拉格朗日在其關於線性微分方程組的著作中首先明確地給出了這個概念。而三個變數的二次型的特徵值的實性則是由阿歇特(j-r.p.hachette)、蒙日和泊松(s.d.poisson,1781~1840)建立的。
柯西在別人著作的基礎上,著手研究化簡變數的二次型問題,並證明了特徵方程在直角坐標系的任何變換下不變性。後來,他又證明了n個變數的兩個二次型能用同一個線性變換同時化成平方和。
1851,西爾維斯特在研究二次曲線和二次曲面的切觸和相交時需要考慮這種二次曲線和二次曲面束的分類。在他的分類方法中他引進了初等因子和不變因子的概念,但他沒有證明“不變因子組成兩個二次型的不變數的完全集”這一結論。
1858年,維爾斯特拉斯對同時化兩個二次型成平方和給出了一個一般的方法,並證明,如果二次型之一是正定的,那么即使某些特徵根相等,這個化簡也是可能的。維爾斯特拉斯比較系統的完成了二次型的理論並將其推廣到雙線性型。
定義
設 V是在交換環 R上的模; R經常是域比如實數,在這種情況下 V是向量空間。
映射 Q: V→ R被稱為在 V上的 二次形式,如果
二次型
二次型Q( av) = a Q( v)對於所有 和 ,並且
2B (u,v) =Q(u+v) −Q(u) −Q(v)是在V上的雙線性形式。
這裡的 B被稱為 相伴雙線性形式;它是對稱雙線性形式。儘管這是非常一般性的定義,經常假定這個環 R是一個域,它的特徵不是2。
V的兩個元素 u和 v被稱為 正交的,如果 B( u, v)=0。
雙線性形式 B的 核由正交於 V的所有元素組成,而二次形式 Q的 核由 B的核中的有 Q( u)=0的所有元素 u組成。 如果2是可逆的,則 Q和它的相伴雙線性形式 B有同樣的核。
雙線性形式 B被稱為 非奇異的,如果它的核是0;二次形式 Q被稱為 非奇異的,如果它的核是0。
非奇異二次形式 Q的正交群是保持二次形式 Q的 V的自同構的群。
二次形式 Q被稱為迷向的,如果有 V中的非零的 v使得Q(v)=0。否則它稱為非迷向的。二次空間的一個向量或子空間也可以被稱為迷向的。如果Q(V)=0則Q被稱為完全奇異的。
性質
二次形式的一些其他性質:
Q服從平行四邊形定律:
二次型向量 u和 v是關於 B正交的,若且唯若
二次型對稱雙線性
在低層的域的特徵不是2的時候,二次形式等價於對稱雙線性形式。
二次形式總是生成對稱雙線性形式(通過極化恆等式),而反過來要求除以2。
注意對於任何向量 u∈ V
2 Q( u) = B( u, u)
所以如果2在 R中是可逆的(在 R是一個域的時候這同於有不是2的特徵),則我們可以從對稱雙線性形式 B恢復二次形式,通過
Q( u) = B( u, u)/2.
當2是可逆的時候,這給出在 V上的二次形式和 V上的雙線性形式之間的一一映射。如果 B是任何對稱雙線性形式,則 B( u, u)總是二次形式。所以在2是可逆的時候,這可以用作二次形式的定義。但是如果2不是可逆的,對稱雙線性形式和二次形式是不同的:某些二次形式不能寫為形式 B( u, u)。
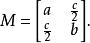
我們在二維情況下描述這種等價。任何2維二次形式可以被寫為
二次型我們對在這個向量空間的任何向量寫 x=( x, y)。二次形式 F可以表達為矩陣,如果我們設 M是2×2矩陣:
二次型接著矩陣乘法給我們下列等式:
F( x)= x· M· x
這裡的有上標的 x指示轉置矩陣。主要我們已經用了特徵不是2,因為我們除以2來定義 M。所以我們看到了在2維二次形式 F和對應於對稱雙線性形式的2×2對稱矩陣 M之間的對應。
這個觀察迅速推廣到 n個變數和 n× n矩陣的形式中。例如,在實數值二次形式中,實數的特徵是0,所以實數二次形式和實數對稱雙線性形式是來自不同觀點的同樣的東西。
二次型如果 V是 n維的,我們寫雙線性形式 B為相對於 V的某個基{ e}的對稱矩陣 B。 B的分量給出自 。如果2是可逆的,二次形式 Q給出自
二次型這裡 u是在這個基下的 u的分量。
實二次形式
假定Q是定義在實數向量空間上的二次形式。
二次型它被稱為是正定的(或者負定的),如果Q(v)>0 (或者Q(v)<0)對於所有向量。
如果我們放鬆嚴格不等於為≥或≤,則形式Q被稱為半定的。
如果Q(v)<0對於某個v而且Q(v)>0對於另一個v,則Q被稱為不定的。
設A是如上那樣關聯於Q的實數對稱矩陣,所以對於任何列向量v,
二次型成立。接著,Q是正(半)定的,負(半)定的,不定的,若且唯若矩陣A有同樣的性質。最終,這些性質可以用A的特徵值來刻畫。

