“配對”問題
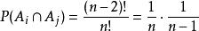
古典概型(等可能概型)中事件機率的計算如下:設在古典概型中,試驗E共有N個基本事件.事件A包含了M個基本事件.則事件A的機率為
配對問題在古典概型中,將A和B搭配在一起算做一個基本事件稱為“配對”問題。
問題舉例
問題1
配對問題
配對問題
配對問題雙相異的鞋共 只,隨機地分成 堆,每堆2隻,各堆都自成一雙鞋(事件A)的機率是多少?
問題2
配對問題
配對問題
配對問題
配對問題從 雙相異的鞋 只中隨機地選 只( ),沒有成對的鞋子(事件A)的機率是多少?
問題3
從5雙不同的鞋子中任取4隻.這4隻鞋子中至少有兩隻配成一雙(事件)的機率是多少?
問題4
一個人寫了n封信,又在n個信封上分別寫了收信人的個人信息(郵編、地址、姓名),然後將信裝入信封中,問沒有一封信裝對(信封上的個人信息與信的內容吻合)(事件A)的機率是多少?
問題5
配對問題
配對問題
配對問題1,2,…,n中無重複地任選 ( )個數,求正好選出 個不相鄰數的機率。
問題解答
問題1
把2n只鞋分成n堆,每堆2隻的分法總數為:
配對問題
配對問題而出現事件A的分法數為 (每雙看成一個,n 個分成 n 堆)
配對問題故
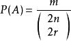
問題2
配對問題
配對問題
配對問題n雙相異的鞋子共 2n 只,隨機選取 2r 只 ( ) ,分法總數為 ,即
而出現事件A的分法數為
配對問題
配對問題於是
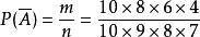
問題3
配對問題
配對問題
配對問題考慮所選4隻鞋的先後次序,總分法為 。再來考慮 的取法,第一隻任取,有10種,第二隻有8種,第三、四依此類推,排列數為 。
配對問題
配對問題由性質 ,得:
配對問題問題4
配對問題
配對問題
配對問題
配對問題
配對問題
配對問題
配對問題
配對問題
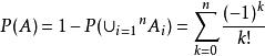
配對問題事件 表示 “裝對第 封信:信封上得個人信息與信的內容吻合”, 。由性質 ,得 ,這裡事件 是相容事件組,經計算 , , 。
配對問題由公式
得:
配對問題套用
古典概型是一種最簡單、最直觀的機率模型。
需要注意的是:
①在套用古典概型時必須注意“等可能性”的條件,“等可能性”是一種假設,在實際套用中,我們需要根據實際情況去判斷是否可以認為各基本事件或樣本點是等可能的;另外,在用排列組合公式計算古典機率時,必須注意不要重複計數,也不要遺漏;
②許多表面上提法不同的問題實質上屬於同一類型,比如,箱中摸球、分球入箱、隨機取數、分組分配是常見的幾種模型,若求其機率均可轉化為求“配對”問題的機率。
