定義
按一定次序排列的一列數叫做 數列,數列中的每一個數都叫做這個數的項,各項依次叫做第1項(或首項),第2項,...,第n項,...。數列也可以看作是一個定義域為自然數集N(或它的有限子集{1,2,3,...,n})的函式,當自變數從小到大依次取值時對應的一列函式值。
數列的一般形式可以寫成a,a,...,a,...,其中an是數列的第n項,也可簡記為{a}.
如果數列{a}的第n項a與n之間的關係可以用一個公式來表示,這個公式叫做數列的 通項公式。
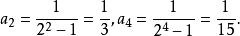
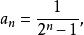
例1 已知數列{a}的通項公式為
通項公式求這個數列中的第2項與第4項。
通項公式解:
例2 依據給出的前四項
通項公式寫出它的一個通項公式。
解:因為
通項公式所以
通項公式性質
若已知一個數列的通項公式,那么只要依次用1,2,3,...去代替公式中的n,就可以求出這個數列的各項。
不是任何一個無窮數列都有通項公式,如所有的質數組成的數列就沒有通項公式。
給出數列的前n項,通項公式不唯一。
有的數列的通項可以用兩個或兩個以上的式子來表示。
1.若已知一個數列的通項公式,那么只要依次用1,2,3,...去代替公式中的n,就可以求出這個數列的各項。
2.不是任何一個無窮數列都有通項公式,如所有的質數組成的數列就沒有通項公式。
3.給出數列的前n項,通項公式不唯一。
4.有的數列的通項可以用兩個或兩個以上的式子來表示。
等差數列通項公式
如果等差數列{a},公差為d,則a=a+(n-1)d,這就是等差數列{a}的通項公式。
註:1)因為a=nd+(a-d),所以等差數列的圖象是橫坐標為自然數列的同一條直線上一些分散的點,公差d的幾何意義是該直線的斜率。
2)等差數列{a}的通項公式還可由以下公式確定:①a=a+(n-m)d,②a=(ma-na)/(m-n)
3)等差數列{a}的公差d可由公式d=(a-a)/(n-m)確定。
例3 在100以內有多少個能被7整除的自然數?
解 100 以內能被7整除的自然數構造一個等差數列,其中a=7,d=7.由
通項公式可得
通項公式又因為n∈N,所以在100以內共有14個能被7整除的自然數。
等比數列通項公式
如果等比數列{a}的首項為a,公比為q,則數列a的通項公式為a=aq .
註:1)因為a=aq ,所以當q>0且q≠1時,等比數列的圖象是橫坐標為自然數的同一條指數函式上一些分散的點。
2)等比數列{a}的通項公式還可由a=aq 公式確定。
例4 已知等比數列{a}中,a=1,a=2,寫出其通項公式。
解:顯然其通項公式為a=2 .

