簡介
近似極限
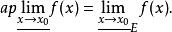
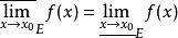
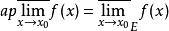
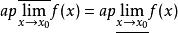
近似極限近似極限是普通極限概念的一種推廣,對一切以x為全密點的點集E,下(上)確界稱為f(x)在點x的近似上(下)極限,記為
近似極限
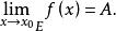
近似極限若,記為。
推論
由近似極限可知以下命題成立:
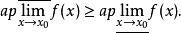
近似極限1、
近似極限
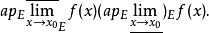
近似極限2、設x為E的全密點,若,則。
近似極限
近似極限
近似極限3、若f(x)在點x有有限的則存在以x為全密點的點集E,使或
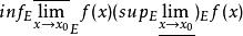
近似極限4、(A為有限數)的充分必要條件為存在以x為全密點的點集E,使
近似極限極限
“極限”是數學中的分支——微積分的基礎概念,廣義的“極限”是指“無限靠近而永遠不能到達”的意思。數學中的“極限”指:某一個函式中的某一個變數,此變數在變大(或者變小)的永遠變化的過程中,逐漸向某一個確定的數值A不斷地逼近而“永遠不能夠重合到A”(“永遠不能夠等於A,但是取等於A‘已經足夠取得高精度計算結果)的過程中,此變數的變化,被人為規定為“永遠靠近而不停止”、其有一個“不斷地極為靠近A點的趨勢”。
極限是一種“變化狀態”的描述。此變數永遠趨近的值A叫做“極限值”(當然也可以用其他符號表示)。
