基本介紹
有理不等式和無理不等式統稱代數不等式,除了代數不等式外,還有一類不等式,就是諸如指數不等式、對數不等式、三角不等式、反三角不等式等,統稱為超越不等式,所謂“超越”指的是函式絕不能僅僅依靠對變數實施代數運算而得到,也就是它“超出”代數運算的範圍 。
解超越不等式的方法
超越不等式
超越不等式
超越不等式解上述幾種初等超越不等式,主要有兩種方法:一是將超越函式(指指數函式、對數函式、三角函式、反三角函式等)用新變數代替,此即換元法;另一是利用超越函式(指上述四種函式)的單調性,將其轉化為代數不等式求解,此即函式單調性法 。其次還有分類討論法,即當不等式中指數函式或對數函式的底與1比較其範圍不確定時,需對其底進行分類討論,才能求得其解。還有化同底法,當指數與對數不等式中底不相同時,可設法化成同底的指數與對數不等式來解,這裡對數的換底公式是一個很好的工具。其次還可以用圖解法,例如對高次不等式與超越不等式,都可以藉助於函式圖象來求解。例如原不等式化為令 在同一坐標系中,如圖1,分別作出兩函式的圖象,得兩交點之橫坐標為x=1, x≈4.5,由此知原不等式的近似解為:1<x<4. 5 。
圖1要正確地變成同解的代數不等式(或不等式組),就必須熟練掌握這些超越函式的定義和性質。下面分別介紹利用單調性和換元法解超越不等式 。
套用函式單調性
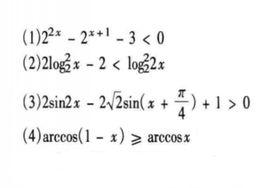
【例1】設0<a<1,給出下面四個不等式:
超越不等式
超越不等式
超越不等式
超越不等式其中不成立的有( )。
A.0個 B.1個 C.2個 D.4個
解:只(3)不成立(因a/2<a),故應選B 。
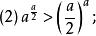
超越不等式【例2】關於x的不等式的解集為(-2,3),求實數a的取值範圍。
超越不等式解:顯然(-2,3)是不等式的解集,由此知y=a 是減函式,故a的取值範圍應是(0, 1) 。
換元法
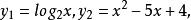
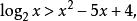
超越不等式【例3】解不等式
超越不等式解:原不等式可化為
超越不等式
超越不等式
超越不等式
超越不等式
超越不等式
超越不等式【例4】解不等式
超越不等式解:原不等式可化為
超越不等式即
超越不等式
超越不等式
超越不等式
超越不等式
超越不等式即
超越不等式
