普通方法
核心思想
三類分式不等式如圖,將分式不等式轉化為整式不等式,然後運用整式不等式的方法求解。
例題
分式不等式4.(2011年上海高考理數)不等式的解為______.
分式不等式
分式不等式解:原式=>=>(x≠0)
分式不等式①2x-1≥0,x>0. 解得 x≥.
②2x-1≤0,x<0. 解得x<0.
分式不等式綜上,x≥或 x<0.
簡便解法
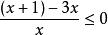
可以用同解原理去分母,解分式不等式;
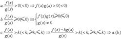
如f(x)/g(x)>0或f(x)/g(x)<0(其中f(x)、g(x)為整式且g(x)不為0)
則f(x)g(x)>0,或f(x)g(x)<0
然後因式分解找零點,用穿針引線法。

