釋義
在數學中, 格朗沃爾引理或 格朗沃爾不等式說明了對於滿足一定的微分方程或積分方程的函式,有相應的關於此微分方程或積分方程的不等式。格朗沃爾不等式有兩種形式,分別是積分形式和微分形式。積分形式下的不等式可以有幾種不同的寫法。
格朗沃爾不等式常常被用來估計常微分方程的解的取值範圍。比如,它可以用來證明初值問題的解的唯一性(見柯西-利普希茨定理)。
格朗沃爾不等式的名稱來自多瑪·哈肯·格朗沃爾。格朗沃爾是一位瑞典的數學家,後來移居美國。
格朗沃爾不等式的微分形式首先由格朗沃爾在1919年證明。 而積分形式則是由理察·貝爾曼(Richard Bellman)在1943年證明。
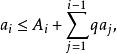
離散形式
Gronwall不等式
Gronwall不等式
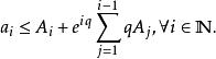
Gronwall不等式設 是非負實數列, 。如果對每一個 ,
Gronwall不等式那么
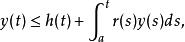
Gronwall不等式連續形式
Gronwall不等式
Gronwall不等式
Gronwall不等式
Gronwall不等式設 是定義在 上的連續實函式, 。如果對一切 ,都有
Gronwall不等式那么
Gronwall不等式微分形式
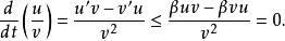
設 I是一個實數區間,記為:[ a,∞) 或 [ a, b] 或 [ a, b),其中 a< b。又設 β和 u為定義在 I上的實數值的連續函式。假設 u是一個在 I的內部(也就是不包括端點)可微的函式,並且滿足如下的微分不等式:
Gronwall不等式
Gronwall不等式
Gronwall不等式那么對於所有的 ,函式 u都小於等於以下微分方程的解:
Gronwall不等式注意:不等式對函式 β和 u的符號沒有任何要求。
證明
如果設
Gronwall不等式是以下微分方程
Gronwall不等式其中 v( a)= 1 的解,那么對所有的 t都有 v( t)> 0, 因此根據複合函式求導法則中的除法定則:
Gronwall不等式對所有的 t> a成立,因此
Gronwall不等式於是格朗沃爾不等式得證。
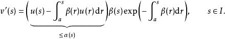
積分形式
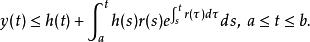
設 I是一個實數區間,記為:[ a,∞) 或 [ a, b] 或 [ a, b),其中 a< b。又設 α、 β和 u為定義在 I上的實數值的函式。假設 β和 u是連續的,則有:
(a) 如果 β是非負函式並且 u滿足如下的積分不等式:
Gronwall不等式,
那么
Gronwall不等式。
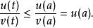
(b) 如果在之前的條件下, α還是一個常數,那么
Gronwall不等式注意:
不等式的成立條件里並沒有限制 α和 u的符號;
相比於微分形式,積分形式中對函式 u的可微性沒有做要求。
證明
(a) 定義
Gronwall不等式則運用複合函式求導法則中的乘積法則、鏈式法則、指數函式的求導法則以及微積分基本定理,可以得到:
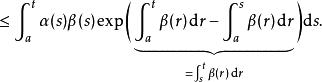
Gronwall不等式由於注意到括弧中的部分小於 α,可以得到相應的不等式,並進行積分。由於函式 β以及其指數都是非負函式,積分後不等號保持不變。然而 v( a)=0,因此積分式等價於:
Gronwall不等式再運用第一步里 v( t) 的定義,就得到:
Gronwall不等式
Gronwall不等式最後將原來條件里的不等式帶入上式左邊,就可以得到格朗沃爾不等式了。
(b) 如果函式 α為常數函式,那么命題 (a) 中不等式的右邊可以進行積分。由微積分基本定理可以獲得:
Gronwall不等式
Gronwall不等式
