影響因素
貨幣流通速度①居民的貨幣收入水平和支出結構變化的影響。一般情況下,收入水平既定,消費結構不會有大的變化。當收入水平有較大提高時,消費結構中用於高檔消費品的部分會增加。在積儲過程未實現購買力,居民持幣率就呈上升趨勢。這就會促成貨幣流通速度的減慢。
②產業結構及生產專業化狀況的影響。不同生產周期、不同資本有機構成的產業部門之間的比重不同,以及社會生產的專業分工程度不同等,都會影響貨幣流通速度。生產周期長的部門,資金周轉慢,其貨幣流通速度相對較慢;反之,則較快。資本有機構成高的部門,資金占用多,使貨幣流通速度減慢;反之,則加快。社會生產的專業化分工越細,進入市場交易的中間產品越多,生產效率越高,生產周期縮短,實現國民生產總值越多,流通速度就越快;反之,則較慢。社會再生產過程中所有這些方面發生變化,都會相應地影響貨幣流通速度發生快慢不等的變化。
③經濟單位數量和金融市場發達狀況的影響。參與經營及收入分配的個人和企業數量越多,社會整體效益提高,貨幣流通速度就加快,否則貨幣流通速度就慢。金融市場越發達,商品交易之外的貨幣交易占用量越多,貨幣流通速度越慢;反之,則相對加快。
④財務及結算制度的影響。如一定時期中分多次支付工資,每項支付期短,會加快貨幣流通速度;反之,則慢。金融業發達,能採用多樣靈活的結算方式,減少資金占用時間,可以加快貨幣流通速度;反之,則慢。
影響貨幣流通速度的心理因素主要是消費者對經濟形勢的預期和對信用貨幣及紙幣的信任程度。心理因素包括人們的支付習慣、消費心理、價值觀念,以及對通貨膨脹率、利率等變動的預期,還包括對政府的重大政策變化和其他政治因素的預期等。心理預期導致的行為變化,會在一定程度上有時甚至是很大程度上左右人們的儲蓄和購買行為,從而影響貨幣流通速度。
上述影響貨幣流通速度的諸多因素錯綜複雜地交織在一起,使貨幣流通速度在很大程度上成為難以考察和計算的變數。
計算公式
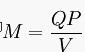
貨幣流通速度的計算公式,從K.馬克思關於貨幣流通規律的公式變換得出。貨幣流通規律的基本公式是:執行流通手段職能的貨幣必要量(M)=待銷售商品數量(Q)×單位商品價格(P))/同名貨幣的流通次數(V)
即

將上式移項,即可得出貨幣流通速度的計算公式為:

依據這一公式,可以計算出任何時期的實際貨幣流通速度。對計畫未來時期貨幣流通速度的變化,一般是以前期或正常年度的貨幣流通速度為基礎,綜合分析以上各項因素的影響,再作出預測。一般是排列一定時期中影響貨幣流通速度正、負變化的諸因素,最後預測出該期貨幣流通速度是呈加快或延緩的變動趨勢。 計算貨幣流通速度,還有兩個著名公式,即現金交易方程式和劍橋方程式。現金交易方程式由美國經濟學家I.費希爾提出,其公式為:MV=PT式中M表示流通中貨幣數量,V表示貨幣流通次數,P表示一般商品價格,表示最終產品和中間產品交易量的總和。在貨幣周轉量V與其相對應的商品交易量PT 的概念範疇下所求出的貨幣流通速度可用V代表,又稱貨幣的交易流通速度,它主要受支付制度和支付習慣的影響。劍橋方程式是在英國經濟學家A.馬歇爾的現金餘額說基礎上,由A.C.庇古用方程式首先提出,其公式為:
M=kpy
式中M表示人們持有的貨幣量,k為貨幣量占國民收入或國民生產總值的比率,P為最終產品和勞務價格水平,y為按固定價格計算的國民收入或國民生產總值,P即為名義收入它是從另一個角度來表示貨幣流通速度的根據劍橋方程式求得的貨幣流通速度,用V表示,又稱貨幣的收入流通速度,是當代國際上有關貨幣流通速度的流行觀點。
和貨幣乘數
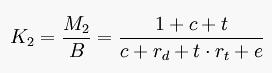
貨幣乘數是指在基礎貨幣(高能貨幣)基礎上貨幣供給量通過商業銀行的創造存款貨幣功能產生派生存款的作用產生的信用擴張倍數。根據貨幣乘數理論其公式為:
其中,K2為廣義貨幣乘數,c為現金漏損率.rd為活期款準備金率,t為定期和儲蓄存款占活期存款的比重,rt為定期存款準備金率,e為超額準備率。
結合(1)和(2)得出:

不難看出,在一定的名義GDP下,貨幣乘數B和貨幣流通速度V之間存在著反比關係,即在一定的產出水平下,貨幣流通速度增大,則貨幣乘數減少;反之亦然。所以要分析金融創新對貨幣流通速度的影響,只要找出影響貨幣乘數的因素,就可以得出相應的結論。
考查原因
貨幣流通速度新貨幣主義學者弗里德曼曾認為,由於貨幣流通速度決定於一國的支付習慣,有關交易的財政金融制度等原因,使它具有一種高度的穩定性和規律性。他根據美國近百年來的經濟統計資料,算出美國貨幣流通速度每年遞減約百分之一,但在正常情況下,相近年度貨幣流通速度變化甚微。據此,為防止貨幣本身成為經濟失調的主要源泉,弗里德曼提出了“單一規則”的貨幣政策,即貨幣供應量增長率與經濟成長率相一致,把貨幣供應量(貨幣存量)作為貨幣政策中間目標。我們可以看出“單一貨幣規則”,是以貨幣流通速度穩定為前提。中國也是把貨幣供應量(貨幣存量)作為中間目標的國家,但是中國的貨幣流通速度是否穩定,是僅監控貨幣供應量,還是須控制貨幣流量值得考察。
中國趨勢
貨幣流通速度縱觀1993-2004年中國貨幣流通速度具有以下特點:
(1)中國貨幣流通速度的總體趨勢是下降的。 1980-2004年,廣義貨幣流通速度V2從2.70下降到0.54,下降了80%;V1從3.93下降到1.42,下降了63.9%,V2的下降幅度要遠大於V1。但V1的波動幅度要大於2,1980-2004年V1的方差為0.46,V2的方差為0.40;1993-2004年,V1的波動更是遠大於V2的波動,V1的方差0.13,是V2方差0.029的4.5倍,因此V2比V1更能反應貨幣流通速度的變化長期趨勢。
(2)中國的貨幣流通速度呈現明顯的順周期性。貨幣流通速度增減速率和貨幣流通速度的下降速率與經濟成長率有著密切的關係。經濟成長高漲時期,貨幣流通速度下降速度放慢;經濟成長處於低潮時期,貨幣流通速度下降加速。V2的年度變化率,自1980年以來有三次為非負(1988、1994、2004),分別對應著三次經濟高漲期;V1也顯示了同樣的波動特徵,反應程度比V2強烈;並且前兩次,V1滯後GDP增長率的波峰2年後達到波峰值,V2滯後一年。貨幣流通速度和經濟成長周期的這種密切相關性產生於經濟成長周期帶來的物流加快和貨幣需求的變動,當經濟成長旺盛時,居民的收入增加且通貨膨脹預期加大,消費欲望高漲,貨幣流通速度加大。
(3)中國的貨幣流通速度年度變化很大,但近年有穩定跡象。從1980-2004年V1年均變化率為6.32%,V2年均變化率為6.65%; V1年度最大變化率為11.6%均下降2.75%,V2年度最大變化率為14.86%。在1981-2004年的24年間,變化率在8%以上的V1有5年, V2有8年;變化率在5%以上的V1有12年, V2有16年。但2003、2004年以來貨幣流通速度的年度變化率有縮小跡象,2004年V2的年度變化率為1.9%左右,是1981年以來最穩定的。
(4)中國貨幣流通速度與一些國外已開發國家相比較低。1993年,美國名義GDP為65530億美元,M1餘額11284億美元,V1是5.81,而中國為2.12,差兩倍多;V2美國1993年為中國的1.5倍多。各個國家的貨幣流通速度各不相同,這與各個國家的經濟金融發展水平和居民的消費習慣等有關。中國貨幣流通速度V2與日本相當,略低於英國,與美國和新興國家韓國差距較大。同時,已開發國家如美國的貨幣流通速度的波動很小,1993-1999年V2的方差僅為0.0026,這也從一定程度上說明了美國的金融發展程度較高和經濟的穩定性較強。
貨幣術語
| 薩繆爾森在其名著《經濟學》有關貨幣的章節中,引用了金·哈伯特的一句名言:“在一萬人中只有一人懂得通貨問題,而我們每天都碰到它。”由此看來,貨幣貌似簡單,實際上卻極其複雜。 |

