概念
成本效益分析(Cost-benefit analysis)是通過比較項目的全部成本和效益來評估項目價值的一種方法。成本效益分析作為一種經濟決策方法,將成本費用分析法運用於政府部門的計畫決策之中,以尋求在投資決策上如何以最小的成本獲得最大的收益。
成本效益分析法的基本原理是:針對某項支出目標,提出若干實現該目標的方案,運用一定的技術方法,計算出每種方案的成本和收益,通過比較方法,並依據一定的原則,選擇出最優的決策方案。
常用於評估需要量化社會效益的公共事業項目的價值,非公共行業的管理者也可採用這種方法對某一大型項目的無形收益(Soft benefits)進行分析。在該方法中,某一項目或決策的所有成本和收益都將被一一列出,並進行量化。
成本—效益分析方法的概念首次出現在19世紀j是法國經濟學家朱樂斯·帕帕特的著作中,被定義為“社會的改良”。其後,這一概念被義大利經濟學家帕累托重新界定。到1940年,美國經濟學家尼古拉斯·卡爾德和約翰·希克斯對前人的理論加以提煉,形成了“成本—效益”分析的理論基礎即卡爾德——希克斯準則也就是在這一時期,“成本—效益”分析開始滲透到政府活動中,如1939年美國的洪水控制法案和田納西州泰里克大壩的預算。60多年來,隨著經濟的發展,政府投資項目的增多,使得人們日益重視投資,重視項目支出的經濟和社會效益。這就需要找到一種能夠比較成本與效益關係的分析方法。以此為契機,成本—效益在實踐方面都得到了迅速發展,被世界各國廣泛採用。
在激烈競爭的經濟環境下,成本控制成為每個企業關注的焦點問題。如何科學分析企業的各項成本構成及影響利潤的關鍵要素,找到成本控制的核心思路和關鍵環節,使企業更好地應對競爭壓力下的成本控制問題?
成本控制絕對不僅僅是單純的壓縮成本費用,它需要與巨觀經濟環境、企業的整體戰略目標、經營方向、經營模式等有效結合,需要建立起科學合理的成本分析與控制系統,讓企業的管理者全面、清晰地掌握影響公司業績的核心環節,全面了解企業的成本構架、盈利情況,從而把握正確的決策方向,從根本上改善企業成本狀況,真正實現有效的成本控制。
收益
構建全面的企業成本管理思維,尋求改善企業成本的有效方法。
掌握成本分析的主要方法,為決策者提供關鍵有效的成本數字支持。
步驟
成本效益分析在開始成本效益分析前了解成本現狀十分重要。你需要權衡每一項投資的利弊。如果可能的話,再權衡一下不投資會有什麼影響。不要以為如果不投資成本就會變高。許多情況下,雖然新投資可獲得巨額利潤,但是不投資的成本相對更小
對一項投資進行成本效益分析的步驟:
1.確定購買新產品或一個商業機會中的成本;
⒉確定額外收入的效益;
⒊確定可節省的費用;
⒋制定預期成本和預期收入的時間表;
⒌評估難以量化的效益和成本。
前三個步驟十分簡單明了。首先確定與商業風險相關的一切成本——本年度主要的成本以及下一年度的預計成本。額外收入也許是由於顧客數量的增加或現有顧客購買量的擴大。為了解這些收入的效益,一定要將與收入相關的新成本考慮在內,最後就可以考慮利潤了。可節省費用顯得簡單一些,至少在某種意義上反映了利潤的增加,可直接計入利潤。然而,有時可節約費用也有微妙之處,更難確認。可節約費用可以來自各種渠道,以下列舉的一些渠道比較便於量化:
更有效的加工:這意味著減少加工過程需要的人數,或者說簡化加工步驟,甚至於縮短每一步驟所用的時間。
更精確的加工:要求減少修正錯誤的時間和儘量避免客戶的流失。
下一步,為以下兩個要素——即成本和收入或可節約費用——制訂出相關一段時期內的計畫。你希望何時該成本發生?成本的增量是多少?你期望何時獲得效益(額外收入或可節約費用)?效益增值是多少?
成本效益分析舉例
某公司為了改善經營,打算購買一套商業智慧型軟體,該公司用成本效益分析來判斷此舉是否正確。
1.在成本方面有:
軟體的價格成本,
雇用技術諮詢人員安裝和運行軟體的成本,
培訓軟體操作人員的成本,
2.在效益方面有:
成本效益分析提高了的業務流程(導致年度經營總成本下降),
由於信息供給更為有效,公司決策更為科學(導致額外的現金流),
由於使用現代化軟體,員工士氣得到提升。
水煤漿效益分析
1.8-2.2噸水煤漿代替1噸重油,1噸水煤漿到廠價750-850元左右,而1噸重油價3000元以上,使用2噸水煤漿其價格相當於1噸重油的50%,直接濟效益十分可觀。
節能效益水煤漿燃燒效率高(95-98%以上),另外水煤漿燃燒系統(密閉儲存、運輸)損耗低,燃燒控制方便,負荷調節範圍大,節能效果顯著,燃用水煤漿具有與燃油基本相同而優於燃煤的低負荷穩燃性能和調節能力,可節約20%左右。
環境效益水煤漿為洗選後的精煤製成,灰、硫等有害物質遠低於常規動力煤和其它工業用煤:水煤漿燃燒溫度比燃油和燃煤粉低的100-200℃,可大大減少SO2的析出和NOX的生成,減少污染物的排放。
安全效益水煤漿運輸,儲存和泵送的過程基本是在常溫下全密封狀態下進行,燃燒前的所有過程均因其含有30%左右水分為非易燃燒體,相對於燃油和煤粉的易燃,易爆性來說,其使用過程中的安全性得到了很大的提高。
效率效益相對於燃煤鍋爐,由於不設定儲煤、上煤系統,可使企業在設備運行,檢修管理方面節省很大的工作量,減少人力和資金的投入。同燃油相比,水煤漿在御儲、供方便簡單、安全、可靠、便於管理。因此,可節省很多人力物力,提高生產效率。
場地效益工業鍋爐燃用的煤共灰份大約28-30%左右,需占用較大的灰場,占用大量土地。並且灰場二次揚塵對大氣造成污染。而燃用水煤漿一般灰份7%以下,灰場占地小,相當容量灰場僅為燃煤灰場的25%。
擴展
套用示例
成本效益分析在企業管理中的套用示例:
某公司為了改善經營,打算購買一套商業智慧型軟體,成本效益分析能給出哪些內容以供企業作出判斷呢。
成本管理
軟體的價格成本,雇用技術諮詢人員安裝和運行軟體的成本,培訓軟體操作人員的成本,軟體維護,維修的成本。
效益貢獻
使用以後提高了業務流程(導致年度經營總成本下降),由於信息供給更為有效,公司決策更為科學(導致額外的現金流),由於使用現代化軟體,員工士氣得到提升。
成本效益分析在個人管理中的套用示例:
假設你面臨,出國、讀研和工作,你該如何選擇?
出國
1)成本分析:每年投入20萬×2~3年=40~60萬;2~3年的海外生活,也許會對中國發展現狀感應滯後。
2)效益分析:回國後擬有10~15萬年薪,但考慮對未來就業市場的風險預測,加權×60%;更獨立;掌握更多高新科技和管理辦法;會有更多海外關係。
讀研
1)成本分析:每年1~2萬×2年=2~4萬;經過2年的校園生活,可能會畢業時會缺乏社會經驗。
2)效益分析:比本科生每月多1~2千元薪水;研究問題的能力提高,思路要比本科時更開闊些。
工作
1)成本分析:找工作階段成本大概3~4千元,但3年之內如果違約會損失1~2萬違約金;一般2~3年內會在一家公司任職;2年後可能會遇到學歷的限制。
2)效益分析:在別人出國或讀研的兩年內自己已經有了大概5萬元儲蓄;工作中能學到很多實用的西,辦事能力提高;獲得人際關係網路。
財務分析
成本效益分析中的主要財務分析方法:
效益分析主要有三種方法:
淨現值收益法
(淨現值NPV:Net-Present Value)
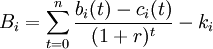
成本效益分析淨現值法是利用淨現金效益量的總現值與淨現金投資量之差算出淨收益,然後根據淨收益的大小來評價投資方案。淨現值為正值,投資方案是可以接受的;淨現值是負值,投資方案就是不可接受的。淨現值越大,投資方案越好。計算公式為
:
其中Bi為某一項目i所可能產生的淨收益總值,t為項目建造和投入使用的第t年,bi(t)為項目i在第t年所產生的收益;ci(t)為項目i在第t年所支出的成本;1/(1+r)表示利息率為r時的折現係數;n為所分析項目的存在期間;ki為項目i最初的投入資本。
現值指數法
簡稱PⅥ法,是指某一投資方案未來現金流入的現值,同其現金流出的現值之比。
現值指數法
內含報酬率法
(Internal Rate of Return,IRR法)又稱財務內部收益率法(FIRR)、內部報酬率法以及內含報酬率法。
內含報酬率法
這三種方法各具所長,有其不同的適用性。一般而言,如果投資項目是不可分割的,則應採用淨現值法;如果投資項目是可分割的,則應採用現值指數法,優先分析現值指數高的項目;如果投資項目的收益可以用於再投資時,則可採用內含報酬率法進行分析。
量本利
根據在經營活動中的固定成本和變動成本在隨著經營量的變化而變化中的位置和比例進行分析。
分析工具
成本效益分析使用的分析工具:
製作成表格,對工作時間,工作成本進行分析,最終進行打分,可根據所填的內容確認出分析出成本的具體情況。
度量指標
如果用比率分析法,有以下幾種指標:
1,相關指標分析法:
產值成本率=成本/產值*100%;
銷售收入成本率=成本/銷售收入*100%;
成本利潤率=利潤/成本*100%
2,構成比率分析法:
直接材料費用比率=直接材料成本/產品成本*100%
直接人工費用比率=直接人工費用/產品成本*100%
製造費用比率=製造費用/產品成本*100%
成本效益
產品背景
隨著外部環境的千變萬化以及同業競爭的日趨激烈,企業在其生存與發展等方面面臨著越來越多的挑戰。為了適應這一挑戰,企業管理者不僅需要想方設法開拓業務渠道,擴大利潤基礎,而且還要加強內部成本核算,提高經濟效益。也就是說,需要在"開源"的同時,注意"節流"。由此,引出了“成本效益分析”這一概念。
本系統集結多年的金融領域系統開發經驗,在借鑑了國內外當前成本效益分析系統的優點的基礎上,面向銀行戰略管理層、部門管理人員、專業分析員等各級管理人員,自主研發出一套成本效益分析系統EASYCON-CBAS。
系統概述
EASYCON-CBAS (Cost Benefit Analyse System)是一套採用先進的數據倉庫技術,結合強大的OLAP分析工具,通過對銀行積累的豐富業務數據進行深度挖掘、分析,從多個角度和層面向銀行提供諸如更好的管理銀行的部門和責任人的成本、產品成本、人員績效考核、產品利潤等一系列的功能和方法;幫助銀行整合信息資產、識別並把握機遇,迅速以低成本開發新產品;根據不同的目標市場和每個用戶的特殊要求調整自己的業務,為管理決策人員提供支持的系統。
本系統按管理會計方法,將成本、收益進行歸集、分攤、明細核算,並制定出標準成本加以控制,將成本管理的責任落實到經營的各個環節。根據制定的標準成本與實際成本的比較分析,揭示成本差異,並進行展現,以改善成本管理,提高成本的計畫性、預警性。
部門核算體系
易初銀行成本效益分析系統納入了分部門核算體系思想。通過部門的劃分,以量化的方式,把各部門、各單位的經營狀況向管理層展示出來,從而有助於管理層準確地考核它們的業績,為銀行最終實現整體經濟目標奠定基礎。
部門核算的管理流程:
1、策劃——各個部門編制出自己的業務指標,從而推算出部門的預算盈利或成本支出,以便銀行能評估各單位對銀行整體盈利的貢獻,並及早作出適當的資源調撥;
2、控制——管理部門及時有效地收集各部門實際收支情況,與制定的業務指標項對比,檢查各部門的實際情況與預算計畫的偏離程度,並及時跟進;
3、決策——當發現部門的實際表現於預算計畫有明顯的偏離,便須分析以決定改善方法(增加資源,或改變銷售策略,或加強成本控制,或修改計畫);
4、評比——透過部門核算,可以將部門成果與歷史成績作縱向比較,同時對各部門作橫向評比,反映各部門的成績變化情況,作為將來資源分配的基礎及獎勵的依據;
5、獎勵——成績單與獎勵制度。
系統框架
系統框架圖系統框架
功能描述
易初銀行成本效益分析系統提供以下功能:
⒈提供準確的銀行客戶盈利分析報告。找出為銀行創造了90%利潤的前20%客戶;
⒉提供準確的銀行產品盈利分析報告。為銀行決策層指出銀行的前幾種產品最盈利,什麼樣的產品和服務是客戶最需要的…,從而大力發展產品以獲得利益;
⒊提供先進的成本費用管理系統。通過多方位的成本費用管理,從而有效控制和降低了銀行成本,從而獲得利潤的提升,通過對成本的分析考評各個部門和不同業務環節的績效,以作管理決策和評估之用;
⒋提供先進的風險預測分析。通過對銀行成本績效的考核,能最大程度的規避銀行風險,使銀行在新一輪的競爭中立於不敗之地。
下面詳細介紹本系統的主要功能模組。
⒋1資產業務成本效益分析
本部分包括以下幾項:
貸款利息收入——各類貸款餘額 * 貸款利率;
營業稅及附加——各類貸款餘額 * 內部資金利率;
內部利息費用;
利息收入;
貸款損失;
淨利息收入;
手續費收入;
匯兌損益;
其它營業收入;
管理費用;
經營費用;
⒋2負債業務成本效益分析
本部分包括:
內部利息收入——(存款--存款準備金) * 內部資金利率
上存準備金收入——存款準備金 * 存款準備金利率
存款利息支出——存款 * 存款利率
淨利息收入;
手續費收入;
匯兌損益;
其它營業收入;
管理費用;
經營費用;
淨利潤;
⒋3籌資部門績效分析
包括:
內部利息收入——(存款--存款準備金) * 內部資金利率
上存準備金收入——存款準備金 * 存款準備金利率
存款利息支出——存款 * 存款利率
淨利息收入;
手續費收入;
匯兌損益;
其它營業收入;
管理費用;
經營費用;
淨利潤
⒋4客戶存款收益分析
包括:
銀行可用資金收益——(存款-存款準備金) * 貸款平均利率;
存款準備金收益——存款準備金 * 存款準備金利率;
客戶存款收益;
利息支出;
淨收益;
系統實現
方法:轉移價格、活動成本法
成本效益分析系統採用了內部資金轉移價格和作業成本法可以精確計算出產品的生產成本,核算產品成本及收益,準確核算各部門的成本和收益。內部轉移價格定價模式根據資金加權平均邊際成本率或單項資金來源邊際成本率確定;
數據採集
通過ODBC可連線當今任何主流資料庫;
圖形化界面配置,操作簡單;
數據源的數據任意選擇配置;
系統配置平台
配置平台包括:
1、系統初始化、組織信息、責任中心、產品信息、客戶信息、成本費用分攤、轉移定價、幫助等;
2、各種數據參數化配置,業務變動無須修改程式;
具有如下特點:
各項數據自動採集;
費用科目自行配置;
費用分攤靈活設定;
組織信息清晰明了;
客戶與帳號明確對應;
產品信息完整;
資金庫定義完善;
數據處理(後台)
一、系統後台數據處理特點:
1、多種分析方法滿足不同需要
明細分析;
歷史分析:指定起止日期按月、按季、按年列出期間數據;
對比分析:指定任意兩個分析日期按當日統計數、當月累計數、當年累計數進行對比;
排行分析:指定排行位數、排行方式、排行指標按當日統計數、當月累計數、當年累計數進行排行分析;
2、使用金融數據分析模型進行分析和對比
3、功能強大的報表參數組合
指定任意統計分析日期
指定任意級別的產品分類、客戶分類、部門分類等
二、系統後台數據處理模式:
1、管理費用分攤層次和步驟
上下級行相關部門的縱向分攤
同行相關部門之間的橫向分攤
分攤後的部門管理費用向所屬產品的分攤
2、基於成本分攤的產品成本核算模式
制定分攤標準的原則——因果關係、占用資源的程度
3、部門費用分攤標準
人工成本— 按部門人數
設備成本 — 按部門使用設備種類和數量
場地租金 — 按部門辦公面積
4、產品成本分攤標準
單一產品帳戶數量占部門所有產品帳戶數量的比例
單一產品帳戶餘額占部門所有產品帳戶總額的比例
單一產品交易額占部門所有產品交易總額的比例
單一產品交易量占部門所有產品交易總量的比例
以上加權平均
5、基於活動成本的產品成本核算模式
各關鍵業務流程成本
各業務產品在其中所占的成本比例
各業務產品在其中所占的實際成本
產品總成本累計
⒌5報表展現
系統使用先進的報表生成工具,以多種形式支持固定格式和自定義格式報表的製作。
特點:
報表web瀏覽、方便易用;
功能強大、復蓋面廣;
報表種類滿足管理需求;
格式豐富、滿足實際需要;
報表格式、小數位數可自由調節;
報表可自由列印也可套表列印。
系統特點
及時、全面、準確地採集各類有用的數據信息;
建立各類管理科學方法,提供各類輔助決策模型;
具有強大的數據多維分析能力;
數據的全面性、及時性、可追溯性、可對比性;
支持多種檔案格式(PDF、HTML、XML、XSL);
報表功能強大、復蓋面廣,滿足各種實際需求;
提供共享的信息資源,並實行有效地、動態地管理;
系統的可持續發展、易用性;
界面友好、操作簡便;

