簡介
學過機率理論的人都知道條件機率的公式:P(AB)=P(A)P(B|A)=P(B)P(A|B);即事件A和事件B同時發生的機率等於在發生A的條件下B發生的機率乘以A的機率。由條件機率公式推導出貝葉斯公式:P(B|A)=P(A|B)P(B)/P(A);即,已知P(A|B),P(A)和P(B)可以計算出P(B|A)。
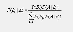
假設B是由相互獨立的事件組成的機率空間{B1,b2,...bn}。則P(A)可以用全機率公式展開:P(A)=P (A|B1)P(B1)+P(A|B2)P(B2)+..P(A|Bn)P(Bn)。貝葉斯公式表示成:P(Bi|A)=P(A|Bi)P(Bi)/(P(A|B1)P(B1)+P(A|B2)P(B2)+..P(A|Bn)P(Bn));常常把P(Bi|A)稱作後驗機率,而P(A|Bn)P(Bn)為先驗機率。而P(Bi)又叫做基礎機率。
貝葉斯公式:
貝葉斯公式貝葉斯公式看起來很簡單,但是在自然科學領域套用範圍及其廣泛。同時理論本身蘊含了深刻的思想。
其診斷模型
1、背景材料及引言
7歲女孩曉宇(化名)患急性支氣管炎,在武漢市兒童醫院住院4天,醫生為確診病情,為她抽血化驗了32個指標,僅化驗費就花費1130元。曉宇的家長質疑:醫院如此看病,是過度檢查。曉宇的接診醫生李志超說:“曉宇入院時,根據其家長自述病情,我認為孩子的情況有些嚴重,於是確定了上述化驗指標”。該院四內科副主任李醫生說:在當時情況下,李志超對患者的病情判斷、以及開出的化驗指標,都是有道理的。但如果是我接診,會以自己的經驗有針對性地進行化驗檢查,可能不會一下開出這么多化驗指標。該科主任溫玟莉主任醫師稱:一次抽血化驗32個指標,是因為李志超當時懷疑孩子得了敗血症,這樣處理沒有問題。但最後的檢查結果並不是敗血症,這只能說明李志超較年輕,缺乏豐富的臨床經驗,只有通過全面檢查才能確診。
在醫患關係緊張,看病難、看病貴的現實情況下,我們應如何看待這個頗有爭議的案例,醫生看病是應該有針對性地開方,還是列出“算法式”的化驗指標進行排查,本研究以貝葉斯公式為依據,從中國現行的醫療體制出發,對此類問題進行了有益的探索,以期建立一種定量化的診斷模型。
2、模型建立
設“患者有某種病症”為事件A,引起事件A的病因為樣本空間Ω。B1,B2,…Bn為Ω的一個分劃,即Bi∩Bj=Φ,i≠j,Uni=1Bi=Ω,並假定P(Bi)>0。由貝葉斯公式,由某病因引起事件A的機率為:
P(Bi|A)=P(Bi)P(A|Bi)/n/j=1P(Bj)P(A⌒Bj)(1)
公式(1)為醫生有針對性地確診提供了參考。
在疹療過程中,醫生要根據臨床經驗對各種病因Bi進行權衡。如果誤診,則有可能承擔相應的醫療事故風險,相應的誤診機率記為P′(Bi),並設因可能承擔風險而承擔的賠償費用為C′i,患者承擔醫生針對病因Bi開出的疹療方案的費用為Ci,於是在一次診治過程中患者承擔的平均費用為:
E(A)=ni=1P(Bi)Ci(2)
醫生可能承擔的平均賠償金額為:
E′(A)=ni=1P′(Bi)C′i(3)
我們稱該模型為診斷模型,並以δ1≤E(A)-E′(A)≤δ2為標準來衡量診斷方案的合理性,其中δ1≥0,δ2為某一不是特別大的正數。即患者所承擔的平均醫療費用應比醫生可能承擔的平均賠償金要多,但兩者不應差別太大。
3、模型檢驗
我們以發熱和上腹疼痛兩個病症的相關數據對該模型進行檢驗。設原假設為H0:診斷是合理的。備擇假設為H1,診斷合理與否需要進一步考查。
對表1和表2中相關數據的說明:中國2002年9月1日實施的《醫療事故處理條例》(以下簡稱《條例》)第五十條對賠償項目和標準的規定與當地上一年度職工平均工資水平緊密掛鈎,實行一次性結算。表1和表2中的工資水平參考了2007年2月湖北省第十屆人民代表大會上的湖北省政府工作報告中的數據:2006年城鎮居民人均可支配收入為9803元。對發熱症狀中的“非典”及“某種類似非典的突發疾病”所可能帶來的醫療事故我們以一級醫療事故中的死亡來處理,賠償金額按《國家賠償法》第二十七條的規定,檢查費用以一次全身檢查所需費用10000元進行計算;對“心肺功能缺陷”所可能帶來的醫療事故我們按二級醫療事故處理,賠償金額取202110,檢查費用按心電圖20元次,心臟彩超180元次,心肌酶譜60元次,肺檢查80元次進行計算,藥費以相應檢查費用的0.8計算。對上腹疼痛症狀中的“胃癌”及“心、膈等器官有病變”可能帶來的醫療事故我們按二級醫療事故來處理,賠償金額取202110,對B3的檢查費用以B超40元次,催C120元次,胃鏡(無痛)240元次進行計算,藥費以相應檢查費用的0.8計算,對B4的檢查費用以胃鏡(無痛)240元次和心臟彩超180元次進行計算,藥費以相應檢查費用的0.8計算。對兩種症狀中“其它”原因對患者可能造成的損害我們以《條例》第三十三條(三)的規定進行處理:在現有醫學科學技術條件下,發生無法預料或者不能防範的不良後果的,不屬於醫療事故。對兩種症狀中“其它”原因,患者的一次醫療費用我們取城鎮居民人均可支配收入的5%,即490元進行計算。所有醫療費用均指一次診治的檢查費和藥費之和,不包括後續治療的費用。檢查費用以武漢市某三級甲等醫院的相關標準為參考。表1發熱症狀診斷模型的相關數據注:B1=人體生理功能的正常表現:B4=某種類似非典的突發疾病;B5=心肺功能缺陷。表2上腹疼痛症狀診斷模型的相關數據注,B2=胃潰瘍、十二指腸潰瘍;B4=心、膈等器官有病變。
設“發熱症狀”為事件A1,“上腹疼痛症狀”為事件A2,由表1和表2的數據計算得(四捨五入精確到元):
E(A1)=121,E′(A1)=187165;E(A2)=265,E′(A2)=22232
我們會發現原假設H0:診斷是合理的,是不成立的。這些數據告訴我們醫生這個職業的確是個高風險的職業,在中國建立醫療責任保險制度有著必要性與迫切性。
4、模型評價
該模型在合理假設的基礎上,對“對症下藥”進行量化,對診療方案的合理性給出了一個量化的標準,有一定的合理性與臨床參考價值。特別是在用數據對模型檢驗後,證實了醫生的確是個高風險的職業,也顯示了在中國建立醫療責任保險制度的必要性和緊迫性。但在模型套用過程中還需要注意以下幾個方面:①病因的複雜性。病因的複雜性會導致樣本空間的分劃的個數n比較大,因此需要結合醫學規律對樣本空間分划進行合理的選擇。②患者體質的差別。不同的患者對同類的醫療事故,由於體質的差別可能帶來不同程度的損害。③醫生臨床診斷水平的差異。不同的醫生,由於經驗等方面的因素,誤診機率可能有較大的差別。④醫院的潛規則。有的醫院把醫生的收入與其給醫院的創收掛鈎,這樣同一病症在不同的醫院治療,診療費用會有較大的差別。⑤實際賠償金的差別。不同地區上一年度人均收入差別較大,加之實際賠償金還與實際談判能力有關係,這樣就可能導致同類醫療事故在不同地區及不同的患者(或家屬)身上,實際賠償金差別也較大。⑥現行醫療體制對模型的影響。下面對此進行較詳細的分析。
中國現行的醫療事故賠償責任者只有一個,就是醫療機構,但醫療機構作為理性人,會儘量減少其自身的醫療成本以實現利益的最大化。醫療機構會將其自身受到的損失通過以下三種主要方式進行轉移:一是利用價格機制,提高醫療費用,即將損失分散於所有的就醫者身上;二是由具體責任人承擔風險,即將損失的一部分轉移給與事故直接相關的醫務人員;三是通過責任保險機制,將損失轉移給保險公司。但長期以來,在中國實際上只有第一種和第二種途徑在發揮著作用,責任保險機制可以說作用甚微。
這樣,就很容易導致醫療費用上漲,引發醫患關係緊張。醫學的專業化使得醫療機構和患者之間存在巨大的信息差,醫療機構有動機也有能力通過使患者進行重複或者不必要的檢查項目等方法多收費用,彌補自身損失.因此模型作用的發揮,還需要以下幾方面的配合:①重視醫德建設,提高醫護人員自身修養。裘法祖院士在文獻里有很深刻的認識。②加強醫患之間的溝通,進行換位思考,讓醫生理解患者的苦衷,讓患者理解診療的風險。③加強誤診規律的研究。醫療技術的進步從來都是和風險相併存的,從某種程度上說誤診是不可避免的,但作為醫護人員要提高生命權保護意識,不斷提高自身的臨床思維能力診斷能力力爭把誤診率降到最低。④加強醫護人員臨床思維能力和臨床經驗的提高。醫學很大程度上是經驗學科,醫學理論最終還要內化為醫護人員的實際診斷能力才能發揮作用。公式(1)為醫護人員提高診斷水平提供了一個很好的參考。⑤探索適合中國國情的、於患於醫均有益的醫療責任保險制度。尤其是在生命意識越來越受到重視的今天,只有切實的降低行醫的風險,才能從根本上解決醫患關係緊張的現狀,實現醫患關係的和諧。
在ACM比賽中的套用
賽題:POJ3716Panda’sBirthdayPresent
題意是說,有4個六面的骰子,在一開始的時候對每一面各以50%的機率染成紅色或藍色,然後擲了兩次,每次的得分為4個骰子裡面擲出紅色向上的數目。給定兩次的得分x,y(0<=x,y<=4),問第三次的得分的期望是多少。
這道題目最後的“期望”的定義不甚明確。如果按照解ACM題的思路,我會這樣考慮問題:把四個骰子的紅色面數組合成一個狀態<s1,s2,s3,s4>,求出每個這種四元組的機率,然後利用x,y這兩個值,可以排除掉肯定不可能的四元組,把剩下的機率重新歸一化,再求第三次的期望,但是按這種算法無論如果對不上樣例(也可能是我寫錯的),一囧之下我就yy出下面一個算法:
從貝葉斯機率的角度來想這個問題,在不知道x,y時計算出的四元組<s1,s2,s3,s4>的機率作為先驗機率P(<s1,s2,s3,s4>),然後我們進行一次試驗,設得到的值為x,則由貝葉斯公式,後驗機率
後驗機率在等號右面,先驗機率P(<s1,s2,s3,s4>)通過dp和組合公式容易得出,似然函式P(x|<s1,s2,s3,s4>)也可由dp得到,P(x)是歸一化因子,可以先不予考慮。於是得到觀測值<x,y>的後驗機率為:
驗機率為這裡Z是歸一化因子,即為對所有四元組<s1,s2,s3,s4>求得的P(<s1,s2,s3,s4>|<x,y>)之和。
求得了這個之後,第三次得分的期望即為:
第三次得分的期望即為ps.據說有人得到超級簡單的公式,最後結果就是(x+y+10)/7,再ps.這次月賽單挑拿了個第三,居然是在退役後拿到歷史最好成績……
舉例
舉個例子來說明:假設有一台癌症診斷儀,通過對它以往的診斷記錄的分析,如果患者確實患有癌症它的確診率為90%,若果患者沒有癌症,被診斷成癌症的機率為10%。
問題:如果一個人被這台診斷儀確診成癌症,這個人患有癌症的機率是多少?
根據貝葉斯公式設A:癌症診斷儀給出癌症診斷。B1:病人是癌症患者。B2病人不是癌症患者。
P(A|B1)=90%;P(A)=90%*P(B1)+10%*P(B2);
則P(B1|A)=P(B1)*90%/(90%*P(B1)+10%*P(B2));
我們知道人群中癌症患者的比重是很小了,假設為1%,則P(B1)=1%;P(B2)=99%;
可以算出:P(B1|A)=8%!
看出什麼問題了嗎?如果醫生僅僅根據癌症診斷儀給出的確診信息就認為病人有很大可能性患有癌症(醫生經常這么做),那就太不付責任了!因為即使這樣,這個病人得癌症的機率還是只有8%!
對公式P(B1|A)=P(B1)*90%/(90%*P(B1)+10%*P(B2))做一下簡單的變形:可以得到 P(B1|A)=1/(1+(10%*P(B2))/(P(B1)*90%)).在結果中只有一個變數P(B2))/(P(B1),這個比率也叫做基礎比率。基礎比率越大,P(B1|A)的值越小。在本例中P(B2))/(P(B1)=99:1。
在推理中基礎比率起到的至關重要的作用。可是大部分人在生活中做判斷的時候卻忽略了它,從而對於必然的小機率事件的發生深信不疑。
