衡量指標
網際網路行業集中度測量行業集中度的具體方法和相應指標有很多,這裡選用絕對集中度(>CRn)和赫佛因德指數(HI)作為衡量市場集中度指標。
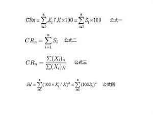
1.行業集中率(CRn指數)
行業集中率是指該行業的相關市場內前N家最大的企業所占市場份額的總和。例如,CR4是指四個最大的企業占有該相關市場份額。同樣,五個企業集中率(CR5)、八個企業集中率(CR8)均可以計算出來。但是,集中率的缺點是它沒有指出這個行業相關市場中正在運營和競爭的企業的總數。例如,具有同樣高達75%的CR4在兩個行業份額卻可能是不相同的,因為一個行業可能僅有幾個企業而另一個行業則可能有許多企業。
CRn指數是以產業中最大的n個企業所占市場份額的累計數占整個產業市場的比例來表示。設某產業的銷售總額為X,第i企業的銷售額為:Xi,則第i企業的市場份額為:Si=Xi/X,又設CRn為該產業中最大的n個企業所占市場份額之和,則有:(見右圖公式一)
一般認為,即如果行業集中度CR4或CR8<40,則該行業為競爭型;而如果30≤CR4或40≤CR8,則該行業為寡占型。
CRn的計算又可細分為以下兩種情況:
(1)已知該行業所占市場份額的情況下,其計算公式:(見右圖公式二)
行業集中度的計算公式其中:Si是第i個企業所占市場份額,是這個行業中企業總數。
已知該行業的企業的產值、產量、銷售額、銷售量、職工人數、資產總額等的情況下,其計算公式:(見右圖公式三)其中:
CRn:規模最大的前幾家企業的行業集中度;
i:表示第i家企業的產值、產量、銷售額、銷售量、職工人數、資產總額等;
n:產業內規模最大的前幾家企業數;
N:產業內的企業總數。通常n=4或者n=8,此時,行業集中度就分別表示產業內規模最大的前4家或者前8家企業的集中度。
根據美國經濟學家貝恩和日本通產省對產業集中度的劃分標準,將產業市場結構粗分為寡占型(CR8 ≥ 40)和競爭型(CR8<40%)兩類。其中,寡占型又細分為極高寡占型(CR8 ≥ 70%)和低集中寡占型(40% ≤ CR8<70%);競爭型又細分為低集中競爭型(20% ≤ CR8<40%)和分散競爭型(CR8<20%)。
2.赫爾芬達爾—赫希曼指數(HI指數)
(1)指數概念HI指數即赫佛因德指數—赫希曼指數(Hirschman-Herfindahl Index),是指基於該行業中企業的總數和規模分布,即將相關市場上的所有企業的市場份額的平方後再相加的總和。這個指標最初由A·赫希曼提出,1950年由哥倫比亞大學的0·赫爾芬達爾在他的博士論文《鋼鐵業的集中》中進一步闡述。赫希曼指數具有數學上絕對法和相對法的優點使它成為較理想的市場集中度計量指標,它可以衡量企業的市場份額對市場集中度產生的影響,成為政府審查企業併購的一個重要行政性標準。
該指數用公式表示為:(見右上圖公式四)
這一指數的含義是:它給每個企業的市場份額Si一個權數,這個權數就是其市場份額本身。可見,它對大企業所給的權數較大,對其市場份額也反映的比較充分。指數值越大,集中度越高,反之越低。
(2)赫希曼指數在反壟斷分析中的套用
美國貝恩對市場結構進行的分類第二、中度集中市場。美國認為,企業併購後市場上赫希曼指數在1000至1800之間,且併購後較併購前的赫希曼指數提高低於100個點,一般不具反競爭效果;但若赫希曼指數提高了100個點以上,則可能具有反競爭效果,需要作進一步分析。歐盟則認為,企業併購後市場上赫希曼指數位於1000-2000之間,且併購後較併購前的赫希曼指數提高低於250個點,一般不具有反競爭效果,但有例外;如果併購後較併購前的赫希曼指數提高了250個點或以上,則可能具有反競爭效果,需要作進一步分析;在中度集中市場,歐盟比美國初始門檻寬鬆。
第三、高度集中市場。美國認為,企業併購後赫希曼指數提高超過1800時,屬於高度集中市場,且併購後較併購前的赫希曼指數提高低於50個點,一般不具反競爭效果;如果併購後較併購前的赫希曼指數提高了50個點以上100個點以下,則可能具有反競爭效果,需要作進一步分析;如果併購後較併購前的赫希曼指數提高了100個點以上,一般具有反競爭效果,但需要綜合其它因素作進一步分析。而歐盟則認為,赫希曼指數提高超過2000時,才屬於高度集中市場,且併購後較併購前的赫希曼指數提高低於150個點,一般不具有反競爭效果,但有例外;但如果併購後較併購前的赫希曼指數提高了150個點或以上,則可能具有反競爭效果,需要作進一步分析;在高度集中市場,歐盟與美國存在市場集中度門檻級差
第四、實踐中的赫希曼指數的價值。企業併購中實測出的赫希曼指數通常比美國和歐盟《併購指南》規定的赫希曼指數標準要高得多,說明《併購指南》規定的赫希曼指數標準僅供參考,不能在企業併購的反壟斷執法決策中起決定性作用,實際執法決策時要綜合考慮市場集中度、市場份額、市場進入障礙、單邊效應、協調效應與效率等因素,還要考慮是否有予以除外或豁免的事由等。
局限性
傳統判斷方法的邏輯是,用前幾家企業的某一指標(銷售量或銷售額)占該行業總量的百分比表示一個企業產業集中度的大小,可以表明它在市場上的地位高低和對市場支配能力的強弱,是企業形象的一個重要標誌。這種邏輯是基於傳統的大規模生產時代的市場和行業情況,由於產品間差異不明顯,因此,憑企業的銷售量或銷售額就能說明該行業的整體結構,但是在現代經濟的發展中,這種情況已經發生了明顯的改變。
首先,產品分類日益細化,產品線長度和深度不斷加強,產品間的差異越來越大,因而銷售量的數據並不能準確判斷行業的集中度。
其次,即使是基於銷售額的行業集中度測算,相對基於銷售量的計算結果有效,但其所能說明的含義也比較有限。一般認為,即如果行業集中度CR4<30或CR8<40,則該行業為競爭型;如果30≤CR4或40≤CR8,則該行業為寡占型。在產品更新日益迅速的今天,這種界定也已經失去了意義。在網際網路時代的“長尾”市場中,無限小眾市場的價值總和並不遜於如日中天的熱門產品。面向特定小群體的產品和服務同樣具有極強的競爭力,即使領頭企業的市場份額很大,但行業的競爭程度仍然較高。
影響因素
行業集中度的影響因素1.由產品本質屬性所決定
在著名的波特產業競爭理論中,所描述的零散型產業,多數是市場集中度低下行業,這些行業中的產品一般具有以下一項或數項產品屬性和特徵
(1)保質期短暫:比如糕點業、鮮奶業,1-5天的保質期令某些有雄心壯志的地方企業望洋興嘆,無可奈何。達能乳業在上海和廣州設有兩大生產基地,該公司品牌、管理、人才等綜合實力俱佳,但因其主導產品為“在冷藏區保存21天”的乳優酪乳,受產品保質期和冷藏條件制約,業務範圍只能龜縮於長江三角和珠江三角一帶,而難以拓展全國市場。
(2)儲運成本過於昂貴:如桶裝水和雪糕冷飲業,前者>5—10元的廠價和每百公里1元左右/桶的運價,限制了多數桶裝水廠的區域擴張;後者從冷藏車、冷藏倉庫到超市冷藏櫃,儲運投入巨大,許多地方冷飲公司不得不畫地為牢,偏居一隅。另外,一些產品易破損,體積過大,儲運成本從而過高,亦是市場集中度低下的重要影響因素
(3)產品難以規模化生產:即產品無法快速低成本複製,比如眾多的手工藝品,土特產品,中國還有一些行業處於手工作坊階段,一旦出現可以大規模生產的機械設備,行業格局就可能發生翻天覆地的變化。
(4)受原材料供應制約:一些行業產品的生產基地必須建在原材料所在地周圍,比如礦泉水業,受礦泉水源制約,大量企業難以向區外拓展,這是造成該行業市場集中度低下的重要原因。
2.由業內廠家的綜合實力所決定
(1)業內廠家的綜合實力普遍強大:(此處所定義的綜合實力包括資本、管理、行銷、人才等核心資源在內的整體實力。>)市場上充斥著幾十個實力均衡的品牌,各品牌之間的市場份額爭奪非常激烈,但沒有一家獨占鰲頭。比如日用品中的牙膏、香皂和衛生棉等行業,這些行業發展比較成熟,領先的多是合資品牌分割天下,這些品牌相互爭奪,卻誰也難以脫穎而出,致使市場集中度低下。在這些行業內,很難發現大的市場機會
(2)業內廠家綜合實力普遍較弱。一些行業內廠家處於低水平競爭階段,市場位於較低層次的均衡狀態,廠家無力(或無心)打造強勢品牌,各自偏居一隅,不思進取,從而導致行業市場集中度低下。比如糖果業、炒貨業、榨菜業等等,若仔細挖掘,類似的細分行業還很多,畢竟中國尚處於市場經濟的初級階段。在這類行業中,比較容易挖掘市場機會。
行業集中度由行業發展階段決定消費者需求日漸多樣化已是事實,千人一面的時代一去不復返。為適應個性飛揚多樣的消費需求,消費者細分和市場區隔日益重要,一些行業的產品更加關注的是細分市場。細分市場越多,必然意味著市場集中度越低,比如化妝品產業中的洗面乳,潤膚露等產品。
4.由新興行業所處的發展階段所決定
許多研究表明,中小企業是科技創新的主要源泉。許多新產品(有專利壟斷的除外)從中小企業中誕生、發展。但中小企業的實力又決定了在新行業發展初期難以迅速擴張占領市場,反而極易形成萬箭齊發,千帆爭先的競爭局面,從而影響了市場集中度。比如2000年的保暖內衣業,由於科技的進步,內衣衣料的保暖性能取得突破性的進展,各種背景的中小企業紛紛上馬生產,幾乎一夜之間,市場上冒出500百餘種保暖內衣品牌,強勢品牌難以脫穎而出,市場的低集中度成為必然。
5.受計畫經濟年代遺留的歷史包袱和政策所影響
在一些行業,如果完全面對市場,可能早已是高市場集中度行業,但是由於存在地方保護,人為營造區域競爭壁壘,從而影響了一些行業的市場集中度。比如有眾多地方品牌的啤酒、白酒、香菸行業。
現實中,一些行業的市場集中度低下,有可能是由以上一種或幾種因素重複累加造成的。影響的因素越多,市場集中度越難提高;同樣,企業對制約的因素分析的越透徹,越能發現其中蘊藏著的行業機會,從而提高企業自身的市場占有率。與市場效率
行業集中度與公司控制權市場行業集中度是評價公司控制權市場效率的有效指標。行業集中度是衡量一個行業的產量或市場份額向行業核心企業集中的程度的一個指標,一般用行業中排名前四位的企業占全行業總產量或市場份額的比例來表示。
成熟行業的行業集中度可以反映公司控制權市場的效率。成熟行業的標誌是行業的供給能力過剩,產品的利潤率呈下降趨勢,行業內競爭激烈,只有那些具備規模經濟效應的企業能夠生存,由於使用的是相對成熟的技術,成本控制在企業競爭中具有決定意義,因此中小企業往往競爭不過大企業,這種狀況導致行業的市場和產量進一步向大企業集中,從而使行業集中度進一步提高。
市場份額向行業大企業集中的趨勢並不會無限制地持續下去,究其原因是:首先任何企業皆有其邊界,超過一定規模以後的擴張可能導致規模不經濟;其次是對於非自然壟斷型行業而言,任何國家都存在某種反壟斷的法律法規,以防止由於過度壟斷所帶來的社會福利損失。其三是由於行業核心技術的升級換代而導致遊戲規則的改變,成本決定市場可能變為技術決定市場,新企業的進入可能導致市場分配的趨勢發生逆轉。
之所以說防止過度壟斷,是因為現實生活中的大多數行業並沒有出現教科書所推崇的完全競爭的市場結構,儘管從理論上而言這種市場結構是最有效率的。現實生活中在成熟行業出現的市場結構大都是一種寡頭壟斷的市場結構,即由主家左右的企業壟斷這個市場的半數甚至更多市場份額,現實的生活實際上是規模經濟與完全壟斷之間的二種折衷,這種市場結構往往並非某個政府的設計,相反,它恰恰是市場選擇的結果,並在不同的行業得到印證,如美國汽車業的三巨頭:通用、福特和克萊斯勒,投資銀行業的美林、高盛和摩根斯坦利。與傳統的經濟學理論不同的是,現代產業組織理論證明:這種寡頭壟斷的市場結構其實是非常有效率的,產業經濟學的大師――芝加哥大學的HaroldDemsetz(1973)指出:高效率的企業可以占有較大的市場份額,並伴隨著產業集中度的提高,優秀企業的良好績效是因為效率而不是因為市場壟斷造成的。
汽車行業的行業集中度另外一種方式就是通過公司控制權市場來實現,通俗地說,也就是通過優勢企業對劣勢企業的購併或者優勢企業與優勢企業之間的強強合併未實現,儘管在大多數情況下對傳統行業而言優勢企業也就是大企業,但情況並非總是如此,由於資本市場的魔力,小企業購併大企業的事情也經常發生,所以在這裡用優勢企業來代替大企業這個概念。從國際範圍的經驗來看,寡頭市場結構購實現主要是基於收購兼併而非因為企業內部的擴張或收縮,這一點可以從近年來頻頻發生的金融業和汽車業的大合併中得到說明
以上事實說明如下邏輯:即成熟行業的寡頭市場結構是市場演變的必然結果,而一國的寡頭市場結構得以普遍形成又主要是通過公司控制權市場,在這裡,實際上是作了一個隱含的假設:假設公司控制權市場是有效率的,即如果的企業兼併是有利可圖的(或者說對原有的狀況而言是一個Parato最佳化),那么這個兼併就會發生。只有在一個有效率的公司控制權市場下,市場才有可能自發演進為富頭壟斷的市場結構,反過來說也就是,如果公司控制權市場是缺乏效率的,那么市場向寡頭市場結構演進的過程是如此緩慢以至於一國行業集中度的提高會非常緩慢並且其總水平與國際上的一般水平將存在明顯的距離。由此而衍生的一個結論是:公司控制權市場的效率也決定了行業集中度的變化趨勢及水平,由於公司控制權市場的效率是不可觀測的,而行業集中度是可觀測的,由此行業集中度可以作為衡量公司控制權市場效率的指標。
考慮到公司控制權市場本質上仍然是一國經濟的市場化程度和資本市場效率的反映,而資本市場效率在國際上已經有比較統一的劃分,因此,仍然模仿資本市場效率的分類方法將公司控制權市場效率劃分為三種,即強有效、中強有效和弱有效,有關類別的確定以該國成熟行業的平均行業集中度為評價標準,美國是市場化程度較高且注重發揮公司控制權市場作用的國家,因此可以認為美國公司控制權市場為強有效,如果一國成熟行業的行業集中度總體水平達到或者接近美國的水平,就可以認為該國的公司控制權市場是強有效
