定義
在統計學上,自相關被定義為,兩個隨機過程中不同時刻的數值之間的皮爾森相關(Pearson correlation).
自相關函式
自相關函式
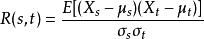
自相關函式
自相關函式
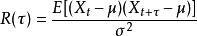
自相關函式如果X為廣義平穩過程,則的期望以及標準差不隨時間t變化,則自相關函式可以表示為時間延遲的函式,如下
自相關函式信號處理
自相關函式,
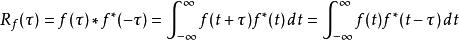
自相關函式其中“*”是卷積算符,為取共軛。
同一時間函式在瞬時t和t+a的兩個值相乘積的平均值作為延遲時間t的函式,它是信號與延遲後信號之間相似性的度量。延遲時間為零時,則成為信號的均方值,此時它的值最大。
簡而言之,自相關函式是表達信號和它的多徑信號的相似程度。一個信號經過類似於反射、折射等其它情況的延時後的副本信號與原信號的相似程度。
性質
以下以一維自相關函式為例說明其性質,多維的情況可方便地從一維情況推廣得到。
對稱性:從定義顯然可以看出R(i) = R(−i)。連續型自相關函式為偶函式。
當f為實函式時,有:
自相關函式當f是複函數時,該自相關函式是厄米函式,滿足:
自相關函式其中星號表示共軛。
連續型實自相關函式的峰值在原點取得,即對於任何延時 τ,均有 |R_f(\tau)| \leq R_f(0)。該結論可直接有柯西-施瓦茲不等式得到。離散型自相關函式亦有此結論。
周期函式的自相關函式是具有與原函式相同周期的函式。
兩個相互無關的函式(即對於所有 τ,兩函式的互相關均為0)之和的自相關函式等於各自自相關函式之和。
由於自相關函式是一種特殊的互相關函式,所以它具有後者的所有性質。
連續時間白噪聲信號的自相關函式是一個δ函式,在除 τ = 0 之外的所有點均為0。
維納-辛欽定理(Wiener–Khinchin theorem)表明,自相關函式和功率譜密度函式是一對傅立葉變換對:
自相關函式
自相關函式實值、對稱的自相關函式具有實對稱的變換函式,因此此時維納-辛欽定理中的復指數項可以寫成如下的餘弦形式:
自相關函式
自相關函式舉例
白噪聲的自相關函式為δ函式:
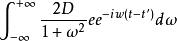
自相關函式具有羅倫茲功率譜的色噪聲的自相關函式為:
自相關函式
自相關函式<Q(t)Q(t')>=
套用
信號處理中,自相關可以提供關於重複事件的信息,例如音樂節拍(例如,確定節奏)或脈衝星的頻率(雖然它不能告訴我們節拍的位置)。另外,它也可以用來估計樂音的音高。

