結構振動
正文
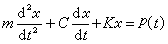
確定性振動 施加在結構上的荷載,隨時間變化的規律是已知的,而且結構參數和初始條件也是確定的,則由該荷載所引起的振動稱為確定性振動,簡稱結構振動。其基本特徵是:外荷載隨時間而變化,結構中各點的加速度不可忽略;因此在動力平衡方程中必須考慮慣性力。承受動力荷載的線彈性結構體系的主要物理特徵是體系的質量、彈性特性(柔度或剛度)、能量耗散機理或阻尼以及外部擾力或荷載等。一個理想化的單自由度體系的力學模型(圖1a),其質量塊在某一瞬間的受力圖,如圖1b所示。其動力平衡方程為
(1)
上式可改寫為
p(t)+fI+fD+fS=0 (1′)
式中x 為質量塊的位移坐標;p(t)為作用外荷載;fS=-Kx 稱為彈性恢復力;
稱為慣性力;
=
稱為阻尼力。
結構振動
(2)
。 若將(1)式中阻尼和外力忽略,就得到(1)式的特解,稱自由振動的方程,其解為x=Asin(ωt+嗚),式中A為振幅、ω為圓頻率、嗚為相位角,是振動三要素。若不忽略阻尼和外力,便得到完全解,包括含有阻尼的自由振動及外力引起的強迫振動(又稱回響)。由於阻尼的存在,自由振動將逐步消失。當外力為任意周期激勵時,可將外力展開為傅立葉級數,而求得強迫振動。當外力為非周期性激振時,通常採用兩種方法,一是傅立葉積分變換,另一是把非周期激振看作是一系列作用時間很短的脈衝,將其回響疊加後即得到非周期激振的回響。此法數學上稱卷積。以上方法僅適用於線性系統。此外也可採用數值積分法求近似解,它對非線性系統也適用。
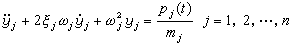
結構振動通常分為單自由度振動、有限自由度振動和無限自由度振動。自由度的數目就是整個體系所具有的獨立廣義坐標的數目。圖2a表示單自由度體系。其自由振動方程為
-δ11m1╔1=y1(3)
圖2b表示兩個自由度體系。y1和y2表示兩個廣義坐標。它們是相互獨立的。自由振動方程為
(4)
。求解兩個自由度體系的固有頻率可採用以下的方法。設Ii=Aisin(ωt+嗘)(其中i=1,2),並代入式(4)可得
(5)
(6)
(7)
結構振動
(8)

(9)
當所取的 n值無限增大時,原來離散的 n個集中質量便轉化成為無窮多個連續的質量。這時,梁就成為具有連續分布質量的連續體,這和實際情況是一致的。考慮連續體梁的振動稱為具有無限自由度體系的振動,此時運動方程由常微分方程轉化為偏微分方程。求解自由振動時可採用分離變數法,首先可求得本徵方程,這相當於有限自由度振動的頻率方程,從而得到本徵值(固有頻率)。由本徵值可求得本徵向量,由本徵向量可求得本徵函式即振型函式。和求解有限自由度振動問題一樣,利用振型函式的正交性,可以較方便地解決強迫振動問題。其基本思想是將梁的撓度I 用振型函式展開成
。若取一項n=1,是一級近似,相當於一個自由度。若取兩項n=1,2,相當於兩個自由度。這是從另一條途徑將無限自由度振動問題簡化為有限自由度振動問題。解決結構振動問題除了採用精確的解析法以外,各種近似方法得到廣泛的套用,其中以能量法(見能量原理)和有限元法用得最多。在機械和航空工程中,模態綜合法已得到廣泛的套用,在土木建築工程中也在套用。 連續梁和剛架的振動 在結構靜力學中分析連續梁和剛架時,常用到力法和位移法。在解決連續梁和剛架的自由振動時,同樣也可以用上述方法。若採用力法,則有
δ
=0 (10)
KZ=0 (11)
式(10)、(11)及係數 δij、Kij 的物理概念均和結構靜力學中一樣,只是現在的係數δij 和Kij 需要根據自由振動的動力微分方程求得。在求解連續梁振動時,(10)式可簡化為三彎矩方程。值得注意的是,當求解等跨連續梁振動時,由(10)式所構成的頻率方程中一般不包含零解X1=X1=…=Xn=0。但當等跨連續梁兩端為鉸支時,支座彎矩等於零(X1=X1=…=Xn=0)的零解具有實際意義,它相應於支座處為反彎點的振型曲線(圖3a),該振型所相應的頻率是連續梁的基頻,等於單跨簡支梁的基頻。兩跨和三跨等跨的連續梁,其基頻和跨度為l的單跨簡支梁一樣。 在使用與(11)式相對應的頻率方程時,同樣也會缺少對應於節點變形剛好等於零的振動形式的頻率方程(圖3b)。和(10)、(11)式所對應的頻率方程比較複雜,可用電子計算機求解。連續梁和單跨梁不同,存在著頻率分布的密集區。當解出自由振動後,就可採用振型疊加法求解強迫振動。
結構振動拱的振動 拱與梁的區別在於拱是曲桿。在動力分析中,必須計及軸力的影響。等截面圓拱可以獲得精確的解析解。梁自由振動的動力方程是四階偏微分方程,而拱是六階的。單跨梁的第一主振型是正對稱的,而圓拱的第一主振型卻是反對稱的且具有一個節點。圓拱的第二主振型是正對稱的而沒有節點。如果直接用曲桿的單元剛度矩陣,通過有限元法解拱的自由振動和強迫振動將更為有利。
板的振動 一般包括單塊板的振動和連續板的振動。單塊板的振動有圓板、橢圓板、三角形板、矩形板以及其他形狀板的振動。在土木建築工程中,矩形板使用得比較多。當單塊矩形板兩對邊為鉸支時,可以較容易地獲得精確的解析解。至於其他支承情況,可以用能量法求解,其精度比較好。也可以用其他方法進行計算。關於連續板的振動,有一個方向連續的單列板振動(如肋形樓蓋),和沿兩個方向均為連續的連續板的振動(如多層工業廠房的樓板)。如果考慮單列板的肋梁是剛性支座,它就和連續梁相類似。當肋梁剛度不大時,肋梁不能當作剛性支座,必須計及梁和板的共同作用。對於這種情況,已獲得解析解。分析結果表明:當肋梁剛度較小時,第一主振型不具有節線,但當肋梁的剛度比較大但還不是無窮大時,彈性支座單列板的基頻有可能和剛性支座單列板的基頻相等,但以後各階的頻率和振型分布次序兩者是不一樣的,而且彈性支座單列板的振型分布發生次序顛倒的現象。在這種情況下,所解得的強迫振動回響兩者也不一樣,其差別隨著肋梁剛度的增加而減小。對於雙向連續的連續板振動的分析,在理論上並不存在困難,但是計算工作相當繁複。
隨機性振動 簡稱隨機振動。20世紀50年代以來,機率論開始更多地被引入工程領域處理隨機荷載作用下的各種振動問題,並逐漸形成一門很有實用價值的新興學科──隨機振動。從力學的角度看,它是古典振動理論的新發展,從數學的角度看,它是隨機過程理論在振動領域裡的套用。隨機振動理論早期套用於高速飛行,50年代以後才開始套用於土木、機械等工程領域以解決在隨機激勵(如地震、海浪、風暴等)作用下的結構振動分析、疲勞強度設計(見疲勞)、結構的動力可靠性(見結構可靠度)、噪聲與隔振及隨機振動實驗等一系列動力學問題。隨機振動尚有很多理論問題和實際問題有待解決,現在處在發展階段中。
在客觀世界有許多隨時間變化的量x(t),如作用在結構物上的風壓力、地震時的地面運動加速度等,如果在一定條件下,對任何給定的時間t,x(t)有一確定的值,則x(t)稱為確定函式。如果在一定條件下,對任何給定的時間t,X(t)的值不確定,或是一個隨機變數,則x(t)稱為隨機過程,並用Xt)表示。如同一地基上的地震儀即使遭到相同震級的地震振動(這是固定的條件),也決不會畫出相同的時程曲線x(t),即x(t)具有非重複性。可以認為,某一特定的時程曲線是受機率法則支配而出現的。因此,地震時地面運動引起的結構振動是一種隨機振動。隨機振動本身也是隨機過程。其確切定義:隨機過程X(t)是指在一定條件下,所有可能發生的xi(t)(i=1,2,…)的集合(圖4),其中任意一個xi(t)(集合中的一個元素)稱為樣本函式。樣本函式本身是一個確定函式。
結構振動幅域描述 主要是描述隨機過程的機率特徵。一個隨機過程X(t)的機率性質,可由它的各階機率密度函式確定。各階機率密度函式是指下列諸函式: p(x1,t1),p(x1,t1;x1,t1),p(x1,t1;x1,t1;x3,t3),…式中xi=x(ti)表示x(t)在時刻t=ti時的值(i=1,2,3,…),它們是隨機變數。
如用E【X(t)】表示Xt)的期望值或稱均值,則隨機過程X(t)的期望值為
(12)
(13)
頻域描述 主要是描述隨機過程的頻率結構,分析過程由一些具有什麼樣的頻率的簡諧分量所構成,尋求該過程的功率譜密度函式,故也稱功率譜分析,簡稱譜分析。功率譜密度函式和自相關函式有其內在聯繫,在數學上是通過傅立葉變換來聯繫的。
隨機過程可分為兩大類:一類是平穩隨機過程,另一類是非平穩隨機過程。
平穩隨機過程按其嚴格定義是指其整個機率性質,即它的各階機率密度函式,與時間參數的原點選擇無關。
如果隨機過程X(t)僅滿足下列二個條件
(14)
如果平穩隨機過程的期望值式(12)和自相關函式式(14)可以由它的任意一個樣本函式的相應的時間平均值代替,則這個平穩過程稱為各態歷經過程。各態歷經過程的物理意義是,平穩過程有足夠長的樣本記錄,包含了關於這個隨機過程的全部統計信息。各態歷經過程一定是平穩過程但其逆不真。
在隨機振動分析中,期望值和自相關函式是描述一個隨機過程的統計特性的兩個非常重要的量。雖然,它們不能完全刻劃一個隨機過程,但它們仍包含了一個隨機過程的最重要的信息。
和確定性振動問題一樣,隨機振動問題也是通過求解隨機微分方程解決的。
最近30年來,隨機微分方程的理論和套用有了迅速的發展,內容十分豐富。根據問題的物理起源和數學特點,有三大類隨機微分方程。最簡單的一類只有初始條件是隨機的,如在空間彈道問題分析中會出現這一類方程。第二類是隨機元素只出現在方程的非齊次項或輸入項。第三類是指在方程的左邊具有隨機係數的微分方程。這類方程的研究是最近才開始的,其套用包括非均勻介質中波的傳播和物理、工程、生物、醫學中不完全確定的系統的動力學。由實際問題提出的方程,可能同時並有上述三類或其中兩類隨機因素。
隨機振動所研究的各種振動現象都是隨機的,其特點是,要對未來某一時刻的振動狀態作出確定的預言是不可能的。但如果有了隨機荷載(一般稱隨機激勵或隨機輸入)的統計特性,便可用機率論和振動理論的方法算出隨機回響的重要統計特性。
參考書目
錢培風:《結構動力學》,中國工業出版社,北京,1964。
R.W.克拉夫、J.彭津著,王光遠等譯:《結構動力學》,科學出版社,北京,1981。(R.W.Clough,J.Penzien,Dynamics of Structures,McGraw-Hill,New York,1975.)
N.C.尼格姆著、何成慧等譯:《隨機振動概論》,上海交通大學出版社,上海,1985。(N.C.Nigam,Introduction to Random Vibrations,MIT Press,Cambridge,Massachusetts,1983.)

