自相關的含義
給出運用最小二乘法的假設條件:
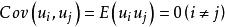
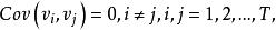
自相關(1) ,即擾動項均值為零;
自相關(2) ,即常數方差或同方差性;
自相關(3) ,即各觀測值擾動項相互獨立或互不相關;
自相關
自相關
自相關
自相關
自相關(4) ,即擾動項的正態性; 其中第(3)條 保證的即是模型中擾動項 之間不存在相關關係,當 時,則線性回歸模型的擾動項 存在自相關。
自相關自相關在計量經濟學中主要指的是回歸模型中不同觀測值其擾動項 之間的相關關係。自相關問題通常與時間序列數據有關,所以自相關也稱為 序列相關;如果是由截面數據產生的自相關問題,則稱為 空間相關。
自相關的類型
通常情況下,自相關可以分為兩類。
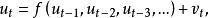
一階自回歸形式
自相關
自相關
自相關即擾動項 只與其滯後一期值有關的情況,即則稱 具有 一階自回歸形式。
高階自回歸形式
自相關即擾動項 在本期的值不僅與其前一期滯後值有關,還與其前若干期的滯後值都相關的情況,
自相關
自相關則稱 具有高階自回歸形式。
一般來說,計量經濟模型中常見的自相關為一階自回歸形式。
自相關的假定
在一階自回歸的形式下來討論自相關的相關假定。通常假定擾動項的自相關是線性的,即
自相關
自相關
自相關
自相關其中 是自回歸係數, 是隨機擾動項,且 滿足以下假設:
自相關
自相關
自相關
自相關
自相關的取值範圍為[一1,1]:
自相關
自相關當 時,稱 存在正相關;
自相關
自相關當 時,稱 存在負相關;
自相關
自相關當 時,稱 不存在相關關係。
自相關產生的原因和後果
產生自相關的原因
1.慣性
即衝擊的延期影響,大多數經濟時間序列都存在自相關。例如GNP就業、貨幣供給、價格指數等,隨機擾動的影響往往會持續一段時間,而不僅僅是一個取值時期。當處於經濟恢復周期時,由蕭條的底部開始,大多數經濟序列的數據都會向上浮動,序列某一時點之後的取值會大於其各個前期的取值,這就是一種衝擊的延期影響。其他的例子如地震、洪水等偶發的外部因素改變,通常也會造成某一段時間內的數據發生整體的偏移。但是隨著觀測時期的延長,這種衝擊造成的滯後影響會逐漸消退。
2.模型設定誤差
如果模型所選用的函式形式與實際變數之間的真實關係不相符,隨機擾動項往往會存在自相關。例如當被解釋變數與解釋變數之間應為對數關係,而模型卻選用線性回歸來進行擬合,那么該回歸模型必存在自相關。
3.略去了帶有自相關的解釋變數
在建立計量經濟模型時,我們往往會選擇最重要的幾個解釋變數,而將次要的解釋變數略去,如果被略去的解釋變數本身存在自相關,它必然在隨機擾動項中反映出來。但有時由於多個被略去的解釋變數之間的自相關關係會相互抵消,而使得模型表現為非自相關。
自相關的後果
自相關若隨機擾動項 存在自相關時,會對回歸結果造成以下影響。
(1)回歸係數最小二乘估計仍然是線性和無偏的。
(2)回歸係數最小二乘估計不再是有效的。
自相關(3)可能低估擾動項 的方差。
自相關
自相關
自相關
自相關
自相關(4)由於回歸係數估計值 的方差以及擾動項 的方差被低估,導致OLS方法計算得到的擬合優度 不能反映模型的真實 ;同時導致根據被低估的 方差所計算的預測區間不可靠。
自相關的解決方法
(一)變換模型的數學形式
自相關如果造成自相關的原因是錯誤地設定了模型中的數學形式,導致無法正確反映經濟變數的真實情況,此時適當的方法就是改變初始的線性形式,使用其他數學形式進行估計,並重新檢驗在新的形式下所得殘差 ,如果此時不存在自相關,則認為該數學形式便是合適的模型。
(二)將自相關的變數引人模型中
自相關
自相關如果造成自相關的原因是由於略去了具有自相關的解釋變數,那么合適的處理方法是將這些被錯誤略去的解釋變數重新引人模型中去。例如,在消費函式中,t期的消費不僅取決於t期的收人,還取決於前一期的收入水平,如果查明自相關性是由於略去的前一期收入水平 引起的,則只要將前一期收入 作為解釋變數加入模型,模型中的自相關就會消除。即
自相關
自相關
自相關
自相關其中, 表示t期的消費; 表示t期的收入; 表示前一期的收入。
(三)廣義差分法
當上述兩種來源的自相關消除後,就可以認為模型中仍然存在的自相關主要來源於隨機擾動項本身。在這種情況下,對於一階自相關的形式,解決的辦法是變換原回歸模型,通過變換消除隨機擾動項中的自相關,白相關消除後再利用普通最小二乘法估計回歸參數,這種估計方法稱廣義差分法。
自相關的參數估計
自相關以上介紹的用於消除自相關的廣義差分法,若不知道 的取值,那么還要進一步分析。
自相關以下介紹兩種估計 的方法。
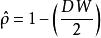
自相關(一)利用DW統計量估計
自相關由DW檢驗法已知: 。
自相關
自相關首先利用殘差 求出DW統計量的值,然後利用上式求出自相關係數 的估計值,但由於運用此方法需要用到DW統計量,因此樣本容量應較大。
(二) 達賓(Durbin)兩步法
自相關
自相關
自相關達賓(Durbin)兩步法的基本原理為:①計算自相關係數 的估計值 ;②利用 進行廣義差分變換,然後對變換後的模型運用最小二乘法估計參數。

