等比數列
一般地,如果一個數列的首項不為0,且從第二項起,每一項與它的前一項的比等於同一個常數,那么這個數列就叫做 等比數列,這個常數叫做等比數列的 公比,公比通常用字母q表示( q不等於0)。如數列2,4,8,16就為等比數列。
等比數列在生活中也是常常運用的。如:銀行有一種支付利息的方式——複利。即把前一期的利息和本金加在一起算作本金,在計算下一期的利息,也就是人們通常說的“利滾利”。
等比中項簡介
在等比數列a項和b項中,插入一個數G使a、G、b成等比數列,那么G叫做a、b的等比中項 。
若a和b的等比中項為c,則c的平方等於a和b的乘積。
等比中項若a,b,c成等比數列,則有
相關結論
等比中項
等比中項由,可知成立。
等比中項
等比中項還可由,得。
此結論說明,在等比數列中,從第二項起,每一項(有限數列末項除外)都是它前後兩項的等比中項。
等比中項同樣可證得成立。
此結論說明,在等比數列中,任取數列中的某項都是與它前後等距離的兩項的等比中項(保證前後兩項都存在)。
性質
等比中項同號的兩個數才有等比中項;等比中項有兩個,且互為相反數。
在等比數列中,若2m=p+k,m與p,k∈N*,則,
舉例
等比中項在解決一些數學問題時,如果發現其中存在特徵,我們不妨聯想到等比中項的知識,巧設公比,利用q的橋樑作用解題,不僅思路新穎而且過程簡捷,從而為問題的解決提供了一種新的方法。
(1)等比數列4,9求該數列等比中項
解:設給數列等比數列為C 則
C/4=9/C
C=36
C=±6
(2)在三角函式的套用:
等比中項
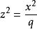
等比中項已知,且a為第三象限角,求。
等比中項
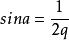
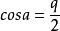
等比中項因為,所以。
等比中項
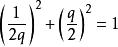
等比中項設,。
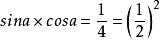
等比中項所以,
等比中項
等比中項又位於第三象限,所以,。
(3)在解方程的套用
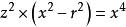
等比中項
等比中項已知x,y,z屬於正實數集,且,
等比中項求證:
等比中項
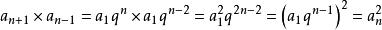
等比中項
等比中項由知,,所以等比數列。
等比中項
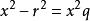
等比中項設,
等比中項得
等比中項所以。

