簡介
等差中項
等差中項
等差中項
等差中項
等差中項
等差中項
等差中項
等差中項
等差中項
等差中項
等差中項
等差中項等差數列,如果對任意的正整數,都有(常數),則稱為等差數列,叫做公差。若三個數成等差數列,即,則稱為和的等差中項,若公差為,則,。
具體內容
在有窮等差數列中,與首末兩項距離相等的兩項和相等;並且等於首末兩項之和;特別的,若項數為奇數,還等於中間項的2倍。
等差中項
等差中項
等差中項
等差中項
等差中項例如:在與中間插入一個數,使成等差數列,求數。
等差中項由成等差數列,得
等差中項即
等差中項
等差中項
等差中項
等差中項
等差中項我們把數叫做與的等差中項。
等差中項
等差中項
等差中項
等差中項
等差中項
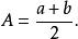
等差中項一般地,如果在數與中間插入一個數,使成等差數列,那么叫做與的等差中項。
等差中項
等差中項
等差中項
等差中項如果是,的等差中項,那么,所以
等差中項
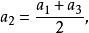
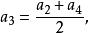
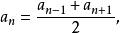
等差中項容易看出,在等差數列中,有
等差中項
等差中項
等差中項
等差中項
等差中項這就是說,在一個等差數列中,從第2項起,每一項(有限等差數列的末項除外)都是它的前一項與後一項的等差中項。

