相和相變
正文
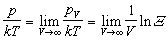
一個處於熱力學平衡狀態的物質系統,可以是一個各處物理和化學性質都相同的均勻系;也可以由若干個有邊界可分的均勻的部分組成,各部分之間的性質存在著差別;每一個均勻的部分叫做一個相。前類系統稱為單相系;後類系統稱為復相系。物質的氣態只有一種結構,多種氣體互相混合,也只能形成一個均勻的單相。物質的液態一般只有一個相;液態氦則有兩個相,分別稱為氦Ⅰ和氦Ⅱ。兩種不同的液體若能混合,則形成一個均勻相;若不能混合,如水和油,就會出現分界面,形成兩相。物質的固態情況較複雜,結晶態可以有多種結構,它們分別屬於不同的相。例如水在高壓下有六種不同的結晶態,分別屬於六種不同的相;又如硫的固態有單斜晶系和正交晶系兩種結構,即兩種相。而非晶態只有一個相。不同相之間發生的轉變稱為相變。如在低於臨界壓強下,氣體的溫度降到某一數值時就液化;在一定的壓強下,把固體加熱到某一溫度時,發生熔解;鐵磁性物質的溫度上升到居里點以上時,其鐵磁性就過渡到順磁性;這些都是相變現象。
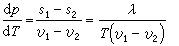
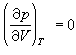
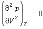
相變理論 相平衡曲線和克拉珀龍方程 穩定在一定溫度和壓強下的物質的單相系,當溫度和壓強改變到某一範圍內時,其穩定性遭到破壞,系統只有改變自己的結構才能得到新的穩定,這時出現兩相或多相共存的穩定狀態。對於單元系(只含一種化學組分的物質系統)兩相共存的條件是:兩相的溫度T、壓強p以及化學勢μ都必須相等。根據
μ1(T,p)=μ2(T,p) (1)
這個條件,給出了兩相共存時的壓強對溫度的依賴關係p=p(T)。 (2)
此式所描繪的曲線稱為相平衡曲線。以p、T為直角坐標,描繪出相平衡曲線,曲線上的點表示兩相共存狀態,曲線兩側的區域是單相區,這個圖形叫相圖。同一種物質的三相平衡應由式
μ1(T,p)=μ2(T,p)=μ3(T,p) (3)
確定,式中T、p代表三個相的共同溫度和共同壓強,三相共存的狀態在相圖上由孤立的點來表示,這個點稱為三相點,它就是三條相平衡曲線的交點。熱力學理論指出,對單元系來說,可以共存的相的數目不可能多於3(見吉布斯相律)。圖1表示水的相圖,Pt代表三相點。在適當的溫度和壓強範圍,任何物質都有三相點。如果在相變過程中,伴隨有一定熱量的放出或吸收,則稱這一熱量為相變潛熱。相圖中的曲線都由實驗測定,套用熱力學理論則可求出曲線的斜率同潛熱之間的關係為
, (4)
,
。 (5)
。 (6)
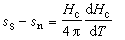
相和相變厄任費斯脫二級相變方程 P.厄任費斯脫在研究氦Ⅰ和氦Ⅱ之間的相變時,導出二級相變的厄任費斯脫方程
, (7)
, (8)
相和相變
, (9)
gs(T,Hc)=gn(T,Hc)。 (10)
從此式出發,即可得到以下形式的相平衡曲線方程式
, (11)
As=H+4πms=0。 (12)
而正常導體的磁導率μ一般約等於1,故mn=0,由式(11)和(12)即得
。 (13)
,因此sn>ss。只有在T=Tc處,兩相的單位體積熵相等。所以,可得出如下結論: ①當T<Tc時,因外場存在而發生的相變有潛熱,為一級相變;
②當T=Tc時的相變無潛熱,屬二級相變(忽略體積變化)。
方程式(7)、(8)可用於cP、α、κ等量在突變點為有限的情形。除超導態和正常態在零磁場下的轉變屬於這類相變外,鐵磁和順磁相變,合金的有序和無序相變以及 HeⅠ-HeⅡ轉變由於熱容在相變點都是發散的,故都不適用,而把這類在突變點處熱容呈現發散的二級相變稱為λ相變。圖3給出關於氦的實驗相圖,其中λ點是T=2.19K,p=0.058標準大氣壓。
相和相變
(14)
(15)
ηe(T,p)=0 (16)
的臨界態。由此式可畫出相平衡曲線。例如,鐵磁體在居里溫度以下,存在自發磁化,這屬於在方向上對稱性比較低的狀態;當溫度升高時,有序程度降低,自發磁化變小;當溫度達到居里溫度時,自發磁化等於零,此時系統處於對稱性較高的狀態,稱為順磁狀態。於是可以把自發磁化作為序參量,它是一個矢量,記作ηi(i=1,2,3)。ηi=0代表順磁態,ηi厵0代表鐵磁態,ηi同T、p有關,其值由磁介質系統的熱力勢G(T,p,η)極小條件確定。關於超導相和正常相的相變問題,也可套用這種方法。朗道二級相變理論得出的結論是正確的,並且有相當的普遍性。
相變模型及其統計物理學解釋 相變是極其普遍的現象,為了正確地闡明發生相變的機理,需要套用統計物理學理論。它對處於平衡態的系統給出了求配分函式的方法,但要具體求解,必須有相應的模型和手段。統計物理學關於相變問題的理論研究只能套用於一些簡單的模型。
例如,非理想氣體凝聚為液體時,物態方程要出現某種不連續性。圖4表示在非理想氣體的等溫線上,對應於同一個pc,比容v=v(p)發生了一個突變。υ由氣相比容υg變到液相比容υ1。
相和相變
,
(17)
,
是熱波長。李政道和楊振寧於1952年提出兩條定理,論證了相變發生的可能性和條件。 為了能在平衡態統計物理的範圍內研究固體中的某些相變,人們提出了各種模型。
鐵磁性模型 當溫度在居里溫度以上時,鐵(Fe)鎳(Ni)這類金屬中,原子自鏇的取向是無規的,不產生淨的磁矩;當溫度低於居里溫度時,原子的自鏇自發地擇優取向,結果在此方向發生自發磁化。當溫度從高溫一側趨向居里溫度時,比熱容趨向無窮大,這是一種從非鐵磁性狀態到鐵磁性狀態的相變。鐵磁性模型就是研究這類相變的一類簡單的模型。
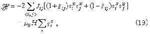
假設在周期性點陣的每個陣點上有一個自鏇si(i=1,2,…),只考慮最近鄰自鏇之間的相互作用和每個自鏇同外磁場的相互作用,則這個系統的哈密頓量應為
, (18)
是對最近鄰自鏇對求和,H 是加在z方向上的外磁場強度,μ0是每個自鏇的磁矩,
是第i個自鏇算符的z方向分量,Jij是最近鄰自鏇對〈i,j〉的相互作用能或稱交換積分,它僅同自鏇間的距離有關,對於鐵磁性物質Jij>0,對於反鐵磁性物質Jij<0。具有這樣的哈密頓量的鐵磁性模型稱為海森伯模型,若z方向分量對哈密頓量的貢獻很小,可以略去,又x及y方向屬各向異性,於是式(18)變為
, (20)
取值+1/2或-1/2。這時,不考慮式(18)的哈密頓量所具有的算符對易性這個量子力學效應。這種模型就是在相變理論中占有重要地位的伊辛模型。略去上標z,並取s=±1,
,就得到伊辛模型哈密頓量常用的表示
, (21)
點陣氣體模型 是一種非真實氣體模型,按照這個模型,N 個可分辨的粒子排列在周期點陣的N0個陣點上,每個陣點最多只能為一個粒子占據,每個粒子僅同其最近鄰的粒子發生作用。
圖5是二維點陣氣體模型的示意圖,圖中“。”代表空位,“·”代表陣點上有粒子占據。這種模型是為了便於將伊辛模型所研究的鐵磁性相變同一般的氣-液相變進行比較並作統一考慮而提出的。這N個粒子系統的總能量為
, (22)
(23)
相和相變
和N
和N
分別代表最近鄰為 AA、BB和 AB的最近鄰對總數,NA、NB和N0分別表示A原子總數、B原子總數和總陣點數,ε
、ε
和ε
分別表示最近鄰對AA、BB和AB的相互作用能。則有序-無序相變系統的相互作用總能量為
。 (24)
相和相變
相和相變方法 20世紀30、40年代以來,許多科學家對上述的幾種相變模型求解,採用的方法主要有平均場近似、高溫展開和低溫展開、解析法、數值法以及重正化群方法等。
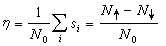
平均場近似 它是處理伊辛模型的一種近似方法。對於三維的真實情形,須作某種近似,即P.外斯的平均場理論。考慮把每個陣點的自鏇si都用由下式
(25)
時,全部自鏇的磁矩都同磁場平行,磁極化達到了飽和,此時η=1;當
時,整個系統磁化為零,η=0。可見η是描述系統極化狀態的參量。用獨立的自鏇在等效的外磁場H┡中的勢能代替各對自鏇的相互作用能。任何一個自鏇(不管向上或向下)所受到的最近鄰自鏇的作用均等於H┡,在一定的溫度下
和
的平均值是一定的,因此,
具有一定的值。可以得到自洽方程
。 (26)
。 (27)
(28)
, (29)
,
, (30)
是磁化強度。還可以求出能量、熵、亥姆霍茲自由能(見自由能)等各個熱力學量,當T>Tc時,它們都等於零,當T<Tc時,它們都是η0的偶函式。這表明存在由式(29)給出的臨界溫度Tc,在Tc以上,當H=0時,物質不磁化;在Tc以下,儘管H=0,但磁化強度不為零,它可正可負,且無論磁化強度是正還是負,熱力學函式均相同,故在臨界溫度以下,鐵磁性物質存在相變。 20世紀40年代L.昂薩格對一維、二維伊辛模型採用解析法,獲得了不存在外磁場條件下的嚴格解,表明:一維伊辛模型不存在相變,二維的在一定條件下發生相變。這種方法具有指導性的意義。
臨界指數和標度假定 是凝聚和相變問題的一個重要方面,它作為研究物質的相變現象和臨界性質的一種有效手段,近20年來有了很大的發展。
由實驗知道,各種物質發生相變時,隨著溫度趨近臨界溫度Tc,物理量一般以
的規律變化,μ是描述相轉變的指數,稱為臨界指數。 圖8中虛線表示氣、液兩相共存曲線,在它之下為二相區。當T<Tc(臨界溫度)時,液體密度ρ1同氣體密度ρg差別很大,但達到Tc時,ρ1同ρg的差別趨於消失。這個特徵表示存在一個序參量,它在Tc以上取值為零,在Tc以下,取非零的值,在這裡可取序參量為ρ1-ρg,於是有
, (31)
或
時,均發散。其實由圖8看出
,因而κT→∞,仿照式(31),也可定義κT和cV的臨界指數,它們分別為-γ,-γ┡和-α,-α┡。
相和相變
, (32)
,
,m為磁化強度,r為分子間距離,d 為系統維數。表1共列出9個臨界指數:-α、-α┡、β、-γ、-γ┡、δ、-v、-v┡、η。發現鐵磁性和液體兩個系統的臨界指數-α、β、-γ、δ 均非常接近。將伊辛模型分別用平均場近似、二維昂薩格嚴格解和計算機數字解計算六個臨界指數得到的數值和各種鐵磁物質相應的臨界指數的實驗值列於下表。
相和相變
相和相變
(33)
,現討論由每邊L個自鏇組成的集團,L=2情形如圖9所示,假設標度變換為 tL=tLa,hL=hLb, (34)
並認為在臨界溫度附近,以參量t、h的自鏇元胞問題同tL、hL的自鏇集團問題等價,即有每個自鏇的熱力勢的關係式
g(tL,hL)=Lbg(t,h)。 (35)
注意式(34)中指數a、b不能由標度假設確定。那么運用式(35)及一些熱力學關係式,容易推導出各臨界指數同a、b的關係式,從而得到如下標度律
。 (36)
相和相變相變理論處理的問題是一個十分複雜的多體問題,必須採用減少自由度的辦法來解決。標度變換體現了重正化群變換的基本思想,不去直接計算配分函式,而是討論那些使配分函式保持不變的變換性質,從而抓住相變的主要特徵。
重正化群變換性質有兩個步驟:①進行粗粒平均,由於當T=Tc時,關聯長度ξ→∞,則元胞自鏇可用集團平均值代替、相互作用可用自鏇集團間的有效作用代替。若每個集團內有n個自鏇,則在坐標空間的平均為
。 (37)
(38)
,
,整個系統收縮s倍;對自鏇
,這好像用倍數低的顯微鏡觀察,當然就不能看到細節的情況。把①、②兩步合起來的變換用Rs表示,得到哈密頓量的變換式
,Rs一般是非線性變換。可以證明
。 (39)
參考書目
龔昌德編:《熱力學與統計物理學》,人民教育出版社,北京1982。
戶田盛和、久保亮五編:《統婖物理學》,岩波,東京,1978。
郝柏林等編著:《統計物理學進展》,科學出版社,北京,1981。

