歷史
伊辛模型由德國物理學家威廉·楞次(Wilhelm Lenz)在1920年提出以描述鐵磁性物質的內部的原子自鏇狀態及其與巨觀磁矩的關係。1924年,楞次的學生Ernst Ising求解了不包含相變的一維伊辛模型 。20世紀30-40年代,勞倫斯·布拉格(Lawrence Bragg)、E. J. Williams、漢斯·貝特(Hans Bethe)、Rudolf Peierls等學者使用平均場近似理論(mean-field theory)對二維伊辛點陣模型(two-dimensional square-lattice Ising model)進行了研究 。1944年美國物理學家拉斯·昂薩格(Lars Onsager)得到了二維伊辛模型在沒有外磁場時的解析解,即Onsager解 。
理論
模型
伊辛模型
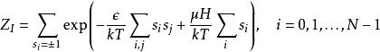
伊辛模型這裡以二維伊辛點陣模型(two-dimensional square-lattice Ising model)為例對伊辛模型進行說明。二維伊辛點陣模型是一個空間隨機場,其中任意點的狀態可有兩個取值,並僅受到與其鄰接的點的影響 :
伊辛模型
伊辛模型
伊辛模型
伊辛模型
伊辛模型
伊辛模型
伊辛模型
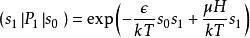
伊辛模型式中為與鄰接的點的集合,求和項被稱為外部場(external field),是模型參數,當時,隨機場所有點的符號(正負)相同、當時,隨機場所有點的正負相反、當時,隨機場間的點與其鄰接點之間沒有相互作用,按均等機率取正或負值 。
圖1 伊辛模型
伊辛模型
伊辛模型
伊辛模型伊辛模型通常被用於模擬鐵磁性物質(鐵、鈷、鎳)的結構並對其在鐵磁性狀態和非鐵磁性狀態之間的相變(phase transition)進行理論描述。當鐵磁性物質的溫度低於居里溫度(Curie temperature)時,其內部的原子會按特定方式自鏇從而產生巨觀磁矩。對應伊辛模型中或的情形,前者表現為鐵磁性(ferromagnetic),後者表現為反鐵磁性(anti-ferromagtic)。當溫度高於居里溫度時,原子自鏇的取向非常紊亂,不產生淨磁矩,對應的情形。
平均場理論
Weiss分子場理論(Weiss molecular field theory)
伊辛模型
伊辛模型
伊辛模型
伊辛模型
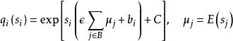
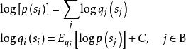
伊辛模型Weiss分子場理論將伊辛模型近似為點的機率分布的乘積 :對上式右側取對數,並考慮到機率分布需要表示所有鄰接點對其自身的影響,可得如下展開 :
伊辛模型即機率分布可表示為該點鄰接點的狀態的期望疊加一常數。帶入二維伊辛點陣模型的表達式後可得 :
伊辛模型
伊辛模型
伊辛模型由於點的機率分布僅有正/負兩個取值:,由此得到 :
伊辛模型Bragg-Williams平均場理論(Bragg-Williams mean-field theory)
伊辛模型
伊辛模型
伊辛模型
伊辛模型
伊辛模型
伊辛模型
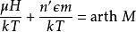
伊辛模型Bragg-Williams平均場理論認為,某一陣點上的自鏇取某一方向的幾率同近鄰陣點上的自鏇取向無關,只同自鏇在該方向的數目成正比。每個陣點上有一平均磁場,自鏇在陣點上的取向只同該磁場有關。用這種方法可求得下列公式 :式中是每個自鏇的磁矩,是每一陣點的最近鄰數,是外磁場強度,是熱力學溫度,模型參數在式中表示自鏇同向的最近鄰對之間的相互作用能,是玻耳茲曼常數。每個自鏇上的磁化強度可表示為:
伊辛模型
伊辛模型
伊辛模型式中分別代表自鏇向上和向下的總陣點數,。
伊辛模型
伊辛模型
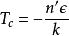
伊辛模型將上式套用於鐵磁性物質的性質,可以得到如下結論:取為臨界溫度(居里溫度),當溫度高於臨界溫度且沒有外磁場時,,物質不具有鐵磁性;當溫度低於居里溫度時,,磁化強度取正值或負值,鐵磁性物質存在相變。這個結論對一維、二維、三維點陣都應成立,
研究表明,二維、三維伊辛模型在臨界溫度以上仍有相變,即平均場理論在鐵磁性物質處於臨界溫度以上時有局限性。
求解
一維情形
伊辛模型考慮具有 N個自鏇的直線鏈,每個自鏇僅同它的兩個最近鄰自鏇及外磁場相互作用。相互作用的總能量即由所確定的位形能量是:
伊辛模型
伊辛模型式中是對最近鄰自鏇對求和,表示對所有自鏇坐標求和。由上式可得配分函式的形式為:
伊辛模型
伊辛模型定義一個2×2的矩陣,其矩陣元具有形式:。因為點只有正/負兩個可能取值,該矩陣可表示為:
伊辛模型
伊辛模型
伊辛模型如果採用周期性邊界條件,即,或構想將直線鏈彎成閉合的圓鏈,並將初端與尾端相接,則配分函式有如下表示:
伊辛模型
伊辛模型
伊辛模型
伊辛模型式中表示矩陣的跡。由此計算可以求出配分函式。另對於長鏈,有:。即當外磁場為0時,對於磁化強度有。即一維伊辛模型沒有自發磁化。在一維伊辛模型中,不論順磁性或逆磁性,都不會實現有序的狀態。如對逆磁性的情形,在絕對零度時,所有自鏇取向相同時處於能量最低的狀態。但如果熱力學溫度不等於零,是有限的,則平均位形由兩種相反的、相互競爭的趨向所決定。一個是各個自鏇的取向完全一致,使能量最低;另一個是各個自鏇的取向為隨機的,使熵最大。由於一維伊辛模型中每個自鏇沒有足夠多的最近鄰自鏇,因而不可能出現所有自鏇取向完全相同的情況。
二維情形
Onsager解
20世紀40年代Lars Onsager對伊辛模型採用解析法得到了嚴格解,作出了突出的成就。這種方法的基本點,是設每個陣點的自鏇變數可取+1和-1兩個值,考慮陣點上自鏇的某個位形,計算每個自鏇同最近鄰自鏇的相互作用能量以及同外磁場相互作用能量,再對全部可能的位形求和,用矩陣的方法求出配分函式,從而得到各個熱力學函式。
二維伊辛點陣的陣點數為 L× n= N。處理二維空間問題的方法與一維的類似,只需將一維的每個陣點當作一列,並逐列相加求和即可。
以 Sl表示第l行的所有自鏇坐標的集合 上標l(l=1,2,…,L)代表行,下標(1,2,…,n)代表列。邊界條件為。即要求每一行的第n+1列的位形與第1列的相同,每一,Sl有2n個值。整個點陣的位形由 {S1,S2,…,SL}確定。考慮最近鄰自鏇對以及自鏇同外磁場的相互作用,則配分函式可寫成 為將上式表示成矩陣的形式,引入三個矩陣 V1、 V2、 V3,它們的矩陣元分別定義為 第一式反映不同行最近鄰自鏇對的相互作用能量,它有2n×2n個;第二式反映同一行最近鄰自鏇對的相互作用能量,它有2n個;第三式反映同一行各個自鏇與外磁場的相互作用能量,它也有2n個。為了計算方便,在補上一些“0”元素後,可把V2、V3擴大成2n×2n矩陣的對角矩陣。可以證明 Z1=tr(V1V2V3)L。 當L→∞時,求L×n矩陣的本徵值問題就變成求解2n×2n矩陣的本徵值問題。H.A.克喇末和G.H.萬尼爾等人曾用數字解計算過有限的幾項,他們計算到n=5,發現當n為有限的情形下,沒有相變。 昂薩格在求解時,設外磁場強度H=0,因而V3=1。計算結果表明:高溫時,T>Tc(臨界溫度),矩陣V=V1V2隻有一個最大本徵值υ+;低溫時,T<Tc,矩陣V=V1V2有兩個本徵值,當n→∞,L→∞時,配分函式為 並得出平均每個自鏇的自由能 f為 若,則上式右邊第二項被積函式 θ( v)滿足 ch θ( v)=ch2 βch2 β'cos vsh2 βsh2 β┡。用數值計算,通過上述二式可算出 T→ Tc時的各個熱力學量,得到以下具體結果,
- f=- fc= kTc(0.9296…),
S=- Sc= kln(1.358)。
其中 S為每個自鏇的熵。式中的臨界溫度 Tc滿足方程 或- kTc=2.269185 ε。在 Tc附近,每個自鏇的比熱容可表示為
可見在 T= Tc時,自由能、熵以及內能是連續的,這意味著在 T= Tc時,發生的相變不包含潛熱。但是時,作為上述熱力學函式的導數,比熱容是對數發散的,無論從高溫端還是低溫端趨於 Tc(即 T→ Tc+0或 T→ Tc-0),比熱容с的值是相同的。
為弄清 T= Tc處相變的細節,還需進一步考慮自發磁化(即計算自由能對磁場強度 H的導數,再讓 H=0)。楊振寧於1952年採用微擾法得到了很好的結果。他證明自發磁化強度 m(0, T)可表為 式對應於 Tc的值。
其它
存在外磁場的二維伊辛模型和更高維情形的伊辛模型使用平均場近似理論進行研究,其解析解沒有被發現,或被認為沒有解析解。

