基本介紹
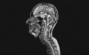
頭部核磁共振圖像在磁場的作用下,一些具有磁性的原子能夠產生不同的能級,如果外加一個能量(即射頻磁場),且這個能量恰能等於相鄰2個能級能量差,則原子吸收能量產生躍遷(即產生共振),從低能級躍遷到高能級,能級躍遷能量的數量級為射頻磁場的範圍。核磁共振可以簡單的說為研究物質對射頻磁場能量的吸收情況。
將這種技術用於人體內部結構的成像,就產生出一種革命性的醫學診斷工具。快速變化的梯度磁場的套用,大大加快了核磁共振成像的速度,使該技術在臨床診斷、科學研究的套用成為現實,極大地推動了醫學、神經生理學和認知神經科學的迅速發展。
從核磁共振現象發現到MRI技術成熟這幾十年期間,有關核磁共振的研究領域曾在三個領域(物理、化學、生理學或醫學)內獲得了6次諾貝爾獎,足以說明此領域及其衍生技術的重要性。
概要
核磁共振成像在磁場的作用下,一些具有磁性的原子能夠產生不同的能級,如果外加一
個能量(即射頻磁場),且這個能量恰能等於相鄰2個能級能量差,則原子吸收能量產生躍遷(即產生共振),從低能級躍遷到高能級,能級躍遷能量的數量級為射頻磁場的範圍。核磁共振可以簡單的說為研究物質對射頻磁場能量的吸收情況。
物理原理
核磁共振成像是隨著計算機技術、電子電路技術、超導體技術的發展而迅速發展起來的一種生物磁學核自鏇成像技術。它是利用磁場與射頻脈衝使人體組織內進動的氫核(即H+)發生章動產生射頻信號,經計算機處理而成像的。原子核在進動中,吸收與原子核進動頻率相同的射頻脈衝,即外加交變磁場的頻率等於拉莫頻率,原子核就發生共振吸收,去掉射頻脈衝之後,原子核磁矩又把所吸收的能量中的一部分以電磁波的形式發射出來,稱為共振發射。共振吸收和共振發射的過程叫做“核磁共振”。核磁共振成像的“核”指的是氫原子核,因為人體的約70%是由水組成的,MRI即依賴水中氫原子。當把物體放置在磁場中,用適當的電磁波照射它,使之共振,然後分析它釋放的電磁波,就可以得知構成這一物體的原子核的位置和種類,據此可以繪製成物體內部的精確立體圖像。通過一個磁共振成像掃描人類大腦獲得的一個連續切片的動畫,由頭頂開始,一直到基部。
核磁共振成像是隨著電腦技術、電子電路技術、超導體技術的發展而迅速發展起來的一種生物磁學核自鏇成像技術。醫生考慮到患者對“核”的恐懼心理,故常將這門技術稱為磁共振成像。它是利用磁場與射頻脈衝使人體組織內進動的氫核(即H+)發生章動產生射頻信號,經電腦處理而成像的。
原子核在進動中,吸收與原子核進動頻率相同的射頻脈衝,即外加交變磁場的頻率等於拉莫頻率,原子核就發生共振吸收,去掉射頻脈衝之後,原子核磁矩又把所吸收的能量中的一部分以電磁波的形式發射出來,稱為共振發射。共振吸收和共振發射的過程叫做“核磁共振”。
氫核首選核種
氫核是人體成像的首選核種:人體各種組織含有大量的水和碳氫化合物,所以氫核的核磁共振靈活度高,且氫核的磁鏇比大,信號強,這是人們首選氫核作為人體成像元素的原因。NMR信號強度與樣品中氫核密度有關,人體中各種組織間含水比例不同,即含氫核數的多少不同,則NMR信號強度有差異,利用這種差異作為特徵量,把各種組織分開,這就是氫核密度的核磁共振圖像。人體不同組織之間、正常組織與該組織中的病變組織之間氫核密度、弛豫時間T1、T2三個參數的差異,是MRI用於臨床診斷最主要的物理基礎。
當施加一射頻脈衝信號時,氫核能態發生變化,射頻過後,氫核返回初始能態,共振產生的電磁波便發射出來。原子核振動的微小差別可以被精確地檢測到,經過進一步的計算機處理,即可能獲得反應組織化學結構組成的三維圖像,從中我們可以獲得包括組織中水分差異以及水分子運動的信息。這樣,病理變化就能被記錄下來。
人體2/3的重量為水分,如此高的比例正是磁共振成像技術能被廣泛套用於醫學診斷的基礎。人體內器官和組織中的水分並不相同,很多疾病的病理過程會導致水分形態的變化,即可由磁共振圖像反應出來。
MRI所獲得的圖像非常清晰精細,大大提高了醫生的診斷效率,避免了剖胸或剖腹探查診斷的手術。由於MRI不使用對人體有害的X射線和易引起過敏反應的造影劑,因此對人體沒有損害。MRI可對人體各部位多角度、多平面成像,其分辨力高,能更客觀更具體地顯示人體內的解剖組織及相鄰關係,對病灶能更好地進行定位定性。對全身各系統疾病的診斷,尤其是早期腫瘤的診斷有很大的價值。
數學運算
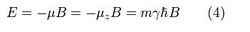
原子核帶正電並有自鏇運動,其自鏇運動必將產生磁矩,稱為核磁矩。研究表明,核磁矩μ與原子核的自鏇角動量S 成正比,即
核磁共振成像式中γ 為比例係數,稱為原子核的鏇磁比。在外磁場中,原子核自鏇角動量的空間取向是量子化的,它在外磁場方向上的投影值可表示為:
核磁共振成像m為核自鏇量子數。依據核磁矩與自鏇角動量的關係,核磁矩在外磁場中的取向也是量子化的,它在磁場方向上的投影值為:
核磁共振成像對於不同的核,m分別取整數或半整數。在外磁場中,具有磁矩的原子核具有相應的能量,其數值可表示為:
核磁共振成像式中B為磁感應強度。可見,原子核在外磁場中的能量也是量子化的。由於磁矩和磁場的相互作用,自鏇能量分裂成一系列分立的能級,相鄰的兩個能級之差ΔE = γhB。用頻率適當的電磁輻射照射原子核,如果電磁輻射光子能量hν恰好為兩相鄰核能級之差ΔE,則原子核就會吸收這個光子,發生核磁共振的頻率條件是:
核磁共振成像式中ν為頻率,ω為角頻率。對於確定的核,鏇磁比γ可被精確地測定。可見,通過測定核磁共振時輻射場的頻率ν,就能確定磁感應強度;反之,若已知磁感應強度,即可確定核的共振頻率。
系統組成
NMR實驗裝置
採用調節頻率的方法來達到核磁共振。由線圈向樣品發射電磁波,調製振盪器的作用是使射頻電磁波的頻率在樣品共振頻率附近連續變化。當頻率正好與核磁共振頻率吻合時,射頻振盪器的輸出就會出現一個吸收峰,這可以在示波器上顯示出來,同時由頻率計即刻讀出這時的共振頻率值。核磁共振譜儀是專門用於觀測核磁共振的儀器,主要由磁鐵、探頭和譜儀三大部分組成。磁鐵的功用是產生一個恆定的磁場;探頭置於磁極之間,用於探測核磁共振信號;譜儀是將共振信號放大處理並顯示和記錄下來。
MRI系統的組成
現代臨床高場(3.0T)MRI掃描器
基礎MR磁場設備靜磁場:又稱主磁場。當前臨床所用超導磁鐵,磁場強度有0.2到7.0T(特斯拉),常見的為1.5T和3.0T;動物實驗用的小型MRI則有4.7T、7.0T與9.4T等多種主磁場強度。另有勻磁線圈(shim coil)協助達到磁場的高均勻度。
梯度場:用來產生並控制磁場中的梯度,以實現NMR信號的空間編碼。這個系統有三組線圈,產生x、y、z三個方向的梯度場,線圈組的磁場疊加起來,可得到任意方向的梯度場。
射頻系統
射頻(RF)發生器:產生短而強的射頻場,以脈衝方式加到樣品上,使樣品中的氫核產生NMR現象。
射頻(RF)接收器:接收NMR信號,放大後進入圖像處理系統。
計算機圖像重建系統
由射頻接收器送來的信號經A/D轉換器,把模擬信號轉換成數位訊號,根據與觀察層面各體素的對應關係,經計算機處理,得出層面圖像數據,再經D/A轉換器,加到圖像顯示器上,按NMR的大小,用不同的灰度等級顯示出欲觀察層面的圖像。
分析方式
全局圖像
首先,拿到一張剛掃描好的核磁共振圖像時,應當對綜全局圖像有個大致的管材,從圖像形狀、顏色、灰度深淺、物理標註等方面進行分析。這裡說一下數字灰度的概念。它是由每一個平等的像素點構成的,有兩個基本的參數,一是像素的位置;二是像素的灰度值。二者共同構成了完整的核磁共振成像掃描方式。體現在圖像上,就是灰度錯落有致深淺不一的標識。
灰度像素點
灰度像素點即對應人體內各個器官、組織的空間位置。核磁共振看可以掃描局部、全身多處組織的病變情況。並且圖形圖像用三維X/Y/Z空間表示出來,三種空間向量的強弱判定大小,用磁場梯度線來控制,並且三者有一定的依存關係,醫生查看圖像,就是從三者灰度等級顏色程度與人體器官對應關係當中,找出病灶、分析病因的。
灰度定位
最後,對於磁場圖像分析,我們還應掌握灰度的定位分析原理,磁場粒子的高速運動,帶動了身體組織內氫原子的周期往復性運動,在每一次振動周期內,我們都會對粒子詳細的軌跡進行定位分析,在判定身體組織內某一器官發生病變時,也就明顯的體現在粒子運動軌跡定位上。目前在一些比較先進的醫院磁共振檢當中,已經將磁場灰度空間定位作為判定磁共振精準性的判定標準之一。顏色深度的巨觀表示方法變成做基礎的磁場灰度值。
醫學上的套用
氫核是人體成像的首選核種:人體各種組織含有大量的水和碳氫化合物,所以氫核的核磁共振靈活度高、信號強,這是人們首選氫核作為人體成像元素的原因。NMR信號強度與樣品中氫核密度有關,人體中各種組織間含水比例不同,即含氫核數的多少不同,則NMR信號強度有差異,利用這種差異作為特徵量,把各種組織分開,這就是氫核密度的核磁共振圖像。人體不同組織之間、正常組織與該組織中的病變組織之間氫核密度、弛豫時間T1、T2三個參數的差異,是MRI用於臨床診斷最主要的物理基礎。
當施加一射頻脈衝信號時,氫核能態發生變化,射頻過後,氫核返回初始能態,共振產生的電磁波便發射出來。原子核振動的微小差別可以被精確地檢測到,經過進一步的計算機處理,即可能獲得反應組織化學結構組成的三維圖像,從中我們可以獲得包括組織中水分差異以及水分子運動的信息。這樣,病理變化就能被記錄下來。
人體2/3的重量為水分,如此高的比例正是磁共振成像技術能被廣泛套用於醫學診斷的基礎。人體內器官和組織中的水分並不相同,很多疾病的病理過程會導致水分形態的變化,即可由磁共振圖像反應出來。
MRI所獲得的圖像非常清晰精細,大大提高了醫生的診斷效率,避免了剖胸或剖腹探查診斷的手術。由於MRI不使用對人體有害的X射線和易引起過敏反應的造影劑,因此對人體沒有損害。MRI可對人體各部位多角度、多平面成像,其分辨力高,能更客觀更具體地顯示人體內的解剖組織及相鄰關係,對病灶能更好地進行定位定性。對全身各系統疾病的診斷,尤其是早期腫瘤的診斷有很大的價值。
成像優點
與1901年獲得諾貝爾物理學獎的普通X射線或1979年獲得諾貝爾醫學獎的計算機層析成像(computerized tomography, CT)相比,磁共振成像的最大優點是它是目前少有的對人體沒有任何傷害的安全、快速、準確的臨床診斷方法。如今全球每年至少有6000萬病例利用核磁共振成像技術進行檢查。具體說來有以下幾點:
大型磁場發生設備對軟組織有極好的分辨力。對膀胱、直腸、子宮、陰道、骨、關節、肌肉等部位的檢查比CT優勝;
各種參數都可以用來成像,多個成像參數能提供豐富的診斷信息,這使得醫療診斷和對人體內代謝和功能的研究方便、有效。例如肝炎和肝硬化的T1值變大,而肝癌的T1值更大,作T1加權圖像,可區別肝部良性腫瘤與惡性腫瘤;
通過調節磁場可自由選擇所需剖面。能得到其它成像技術所不能接近或難以接近部位的圖像。對於椎間盤和脊髓,可作矢狀面、冠狀面、橫斷面成像,可以看到神經根、脊髓和神經節等。不像CT只能獲取與人體長軸垂直的橫斷面;
對人體沒有電離輻射損傷;
原則上所有自鏇不為零的核元素都可以用以成像,例如氫(1H)、碳(13C)、氮(14N和15N)、磷(31P)等。
人類腹部冠狀切面磁共振影像。
(所采成像脈衝序列:Turbo Spin Echo, TSE。)
缺點
1.和CT一樣,MRI也是解剖性影像診斷,很多病變單憑核磁共振檢查仍難以確診,不像內窺鏡可同時獲得影像和病理兩方面的診斷;
2.對肺部的檢查不優於X射線或CT檢查,對肝臟、胰腺、腎上腺、前列腺的檢查不比B超優越,但費用要高昂得多;
3.對胃腸道的病變不如內窺鏡檢查;
4.掃描時間長,空間分辨力不夠理想;
5.由於強磁場的原因,MRI對諸如體內有磁金屬或起搏器的特殊病人卻不能適用。
MRI系統的傷害
MRI系統可能對人體造成傷害的因素主要包括以下方面:
強靜磁場
在有鐵磁性物質存在的情況下,不論是埋植在患者體內還是在磁場範圍內,都可能是危險因素;
隨時間變化的梯度場
可在受試者體內誘導產生電場而興奮神經或肌肉。外周神經興奮是梯度場安全的上限指標。在足夠強度下,可以產生外周神經興奮(如刺痛或叩擊感),甚至引起心臟興奮或心室振顫;
射頻場致熱效應
在MRI聚焦或測量過程中所用到的大角度射頻場發射,其電磁能量在患者組織內轉化成熱能,使組織溫度升高。RF的致熱效應需要進一步探討,臨床掃瞄器對於射頻能量有所謂“特定吸收率”(specific absorption rate, SAR)的限制;
噪聲
MRI運行過程中產生的各種噪聲,可能使某些患者的聽力受到損傷;
造影劑的毒副作用:目前使用的造影劑主要為含釓的化合物,副作用發生率在2%-4%。
化學領域套用
MRI在化學領域的套用沒有醫學領域那么廣泛,主要是因為技術上的難題及成像材料上的困難,目前主要套用於以下幾個方面:
在高分子化學領域,如碳纖維增強環氧樹脂的研究、固態反應的空間有向性研究、聚合物中溶劑擴散的研究、聚合物硫化及彈性體的均勻性研究等;
在金屬陶瓷中,通過對多孔結構的研究來檢測陶瓷製品中存在的砂眼;
在火箭燃料中,用於探測固體燃料中的缺陷以及填充物、增塑劑和推進劑的分布情況;
在石油化學方面,主要側重於研究流體在岩石中的分布狀態和流通性以及對油藏描述與強化採油機理的研究。
成像的進展
核磁共振分析技術是通過核磁共振譜線特徵參數(如譜線寬度、譜線輪廓形狀、譜線面積、譜線位置等)的測定來分析物質的分子結構與性質。它可以不破壞被測樣品的內部結構,是一種完全無損的檢測方法。同時,它具有非常高的分辨本領和精確度,而且可以用於測量的核也比較多,所有這些都優於其它測量方法。因此,核磁共振技術在物理、化學、醫療、石油化工、考古等方面獲得了廣泛的套用。
獲獎者的貢獻
2003年10月6日,瑞典卡羅林斯卡醫學院宣布,2003年諾貝爾生理學或醫學獎授予美國化學家-{zh-tw:保羅·勞特伯;zh-cn:保羅·勞特布爾}-(Paul C. Lauterbur)和英國物理學家彼得·曼斯菲爾德(Peter Mansfield),以表彰他們在醫學診斷和研究領域內所使用的核磁共振成像技術領域的突破性成就。
-{zh-tw:勞特伯;zh-cn:勞特布爾}-的貢獻是,在主磁場內附加一個不均勻的磁場,把梯度引入磁場中,從而創造了一種可視的用其他技術手段卻看不到的物質內部結構的二維結構圖像。他描述了怎樣把梯度磁體添加到主磁體中,然後能看到沉浸在重水中的裝有普通水的試管的交叉截面。除此之外沒有其他圖像技術可以在普通水和重水之間區分圖像。通過引進梯度磁場,可以逐點改變核磁共振電磁波頻率,通過對發射出的電磁波的分析,可以確定其信號來源。
曼斯菲爾德進一步發展了有關在穩定磁場中使用附加的梯度磁場理論,推動了其實際套用。他發現磁共振信號的數學分析方法,為該方法從理論走向套用奠定了基礎。這使得10年後磁共振成像成為臨床診斷的一種現實可行的方法。他利用磁場中的梯度更為精確地顯示共振中的差異。他證明,如何有效而迅速地分析探測到的信號,並且把它們轉化成圖像。曼斯菲爾德還提出了極快速的梯度變化可以獲得瞬間即逝的圖像,即-{zh-tw:面回訊成像;zh-cn:平面回波掃描成像}-(echo-planar imaging, EPI)技術,成為20世紀90年代開始蓬勃興起的功能磁共振成像(functional MRI, fMRI)研究的主要手段。
雷蒙德·達馬蒂安的“用於癌組織檢測的設備和方法”值得一提的是,2003年諾貝爾物理學獎獲得者們在超導體和超流體理論上做出的開創性貢獻,為獲得2003年度諾貝爾生理學或醫學獎的兩位科學家開發核磁共振掃瞄器提供了理論基礎,為核磁共振成像技術鋪平了道路。由於他們的理論工作,核磁共振成像技術才取得了突破,使人體內部器官高清晰度的圖像成為可能。
此外,在2003年10月10日的《紐約時報》和《華盛頓郵報》上,同時出現了佛納(Fonar)公司的一則整版廣告:“雷蒙德·達馬蒂安(Raymond Damadian),應當與彼得·曼斯菲爾德和保羅·勞特布爾分享2003年諾貝爾生理學或醫學獎。沒有他,就沒有核磁共振成像技術。”指責諾貝爾獎委員會“篡改歷史”而引起廣泛爭議。事實上,對MRI的發明權歸屬問題已爭論了許多年,而且爭得頗為激烈。而在學界看來,達馬蒂安更多是一個生意人,而不是科學家。
未來展望
頭部核磁共振檢測人腦是如何思想、感受的,至今仍一直是個謎。而且是科學家們關注的重要課題。而利用MRI的腦功能成像則有助於我們在活體和整體水平上研究人的思維。其中,關於盲童的手能否代替眼睛的研究,是一個很好的樣本。正常人能見到藍天碧水,然後在大腦里構成圖像,形成意境,而從未見過世界的盲童,用手也能摸文字,文字告訴他大千世界,盲童是否也能“看”到呢?專家通過功能性MRI,掃描正常和盲童的大腦,發現盲童也會像正常人一樣,在大腦的視皮質部有很好的激活區。由此可以初步得出結論:盲童通過認知教育,手在某種意義上,是可以代替眼睛“看”到外面世界的。
快速掃描技術的研究與套用,將使經典MRI成像方法掃描病人的時間由幾分鐘、十幾分鐘縮短至幾毫秒,使因器官運動對圖像造成的影響忽略不計;MRI血流成像,利用流空效應使MRI圖像上把血管的形態鮮明地呈現出來,使測量血管中血液的流向和流速成為可能;MRI波譜分析可利用高磁場實現人體局部組織的波譜分析技術,從而增加幫助診斷的信息;腦功能成像,利用高磁場共振成像研究腦的功能及其發生機制是腦科學中最重要的課題。有理由相信,MRI將發展成為思維閱讀器。
20世紀中葉至今,信息技術和生命科學是發展最活躍的兩個領域,專家相信,作為這兩者結合物的MRI技術,繼續向微觀和功能檢查上發展,對揭示生命的奧秘將發揮更大的作用。
項目及意義
鼻咽部MRI檢查(核磁共振檢查)
正常範圍:1.鼻咽部惡性病變。2.鼻咽部良性病變。3.由其他部位侵入到鼻咽部黏膜間隙的病變。4.喉部良、惡性腫瘤。
檢查介紹:對鼻咽腫瘤檢查,MRI比CT對鼻咽部正常解剖以及病理解剖的顯示,比CT清晰、全面。
臨床意義:MRI比CT對疾病的診斷更有意義。
·肝、膽、胰、脾的MRI檢查(核磁共振檢查)
正常範圍:1.肝、膽、胰、脾的原發性或轉移性腫瘤,以及肝海綿狀血管瘤。2.肝寄生蟲病:如肝包蟲病。3.瀰漫性肝病:如肝硬變、脂肪肝、色素沈著症。4.肝、膽、胰、脾先天性發育異常。5.肝膿腫。6.胰腺炎及其併發症。
檢查介紹:能明確病變的程度、範圍及其特徵,並能和其他腫瘤鑑別。對肝、脾囊腫、海綿狀血管瘤有確診作用。
臨床意義:MRI比CT對疾病的診斷更有意義。
·核磁共振成像(MRI)
正常範圍:正常。
檢查介紹:核磁共振成像是近年來一種新型的高科技影像學檢查方法,是80年代初才套用於臨床的醫學影像診斷新技術。它具有無電離輻射性(放射線)損害;無骨性偽影;能多方向(橫斷、冠狀、矢狀切面等)和多參數成像;高度的軟組織分辨能力;無需使用對比劑即可顯示血管結構等獨特的優點。
臨床意義:適應症:
神經系統的病變包括腫瘤、梗塞、出血、變性、先天畸形、感染等幾乎成為確診的手段。特別是脊髓脊椎的病變如脊椎的腫瘤、萎縮、變性、外傷椎間盤病變,成為首選的檢查方法。
圖書信息
簡介
核磁共振成像書 名: 核磁共振成像
作者:(美國)嚕克
出版社: 中國醫藥科技出版社
出版時間: 2007年06月
ISBN: 9787506736831
開本: 16開
定價: 248.00 元
內容介紹
《核磁共振成像(物理原理和脈衝序列設計)(精)》的主要寫作動機是得到一部獨立的、研究生和高年級本科生磁共振成像基礎的教科書。儘管這不是一部完整的MRI研究論著,但是仍然可以作為這一領域的有相關工作經驗的人的參考書。由於時間和篇幅的限制,《核磁共振成像(物理原理和脈衝序列設計)(精)》不可能對進動交換、射頻穿透、k-t空間、灌注和參數重建方法進行詳細討論,因而省略掉了這些重要課題。磁共振模擬、互動式MRI、遠程學習等另外幾個重要問題或許將來有可能作為網上擴展卷中的內容確定下來。我們相信這《核磁共振成像(物理原理和脈衝序列設計)(精)》的內容對讀者是有用的,許多技術細節可以參照其他核磁共振技術的專著,比如,Chen和Hoult關於磁共振線圈的專著、Callaghan關於擴散的微觀成像的專著。
每一章都不同程度地包含了技術細節的討論、家庭作業、序列概念和產生的圖像。關鍵部分一般用斜體標記,單引號內通常表示引入磁共振成像術語和格式化的說法。每一章結尾都有典型的參考文獻,但是我們只引用綜述性的、介紹性的和我們特別熟悉的文獻。做一個完整的書目並不是這《核磁共振成像(物理原理和脈衝序列設計)(精)》的目的。
《核磁共振成像(物理原理和脈衝序列設計)(精)》的前15章本質上是介紹性的,或許可以作為一學期的課程。經過第一章簡短的概述後,接著介紹核磁矩的基本動力學、成像概念,然後是各種重建方法、對比度和噪聲。後面的11章介紹了成像套用;這可以在第二個學期中講授,也可以把這些基本概念穿插到前面的內容中去,在一個學期把全書講完(這是我們傾向性的意見)。後面的11章中,開始是簡短介紹射頻脈衝的設計和化學位移成像,然後詳細討論了快速成像、磁場不均勻性的影響、運動、流動、擴散、脈衝序列設計和偽影。射頻、梯度和主磁體線圈統一放在最後一章討論。另外,在前面章節的適當位置,我們也討論了線圈硬體的問題。附錄中包括電磁學和統計學的一些知識,也列出了書中圖像的成像參數。
圖書目錄
第一章磁共振成像簡介
第二章磁場中單核的經典回響
第三章鏇轉坐標系和共振
第四章磁化強度,弛豫和布洛赫方程
第五章進動和激發的量子力學基礎
第六章熱平衡及縱向馳豫的量子力學基礎
第七章信號檢測概念
第八章信號採集方法導論:自由感應衰減、自旋迴波、反轉恢復和譜
第九章一維Fourier成像,k空間數據和梯度回波
第十章多維Fourier成像和片層激發
第十一章連續和離散Fourier變換
第十二章採集和圖像重建中的反迭
第十三章Fourier變換圖像重建的濾波和解析度
第十四章圖像投影重建
第十五章信號,對比度和噪聲
第十六章對射頻脈衝的深入討論
第十七章水脂分離技術
第十八章穩態快速成像
第十九章K空間分區採集和回波平面成像
第二十章磁場不均勻性的影響和T2散相
第二十一章隨機漫遊,弛豫和擴散
第二十二章磁共振成像自鏇密度、T1和T2的測量方法
第二十三章運動偽影和流動補償
第二十四章磁共振血管成像和血流測量
第二十五章組織的磁特性:理論和測量
第二十六章序列設計,偽影和命名規則
第二十七章磁共振成像線圈及磁體導論
附錄A電磁場原理:簡介
附錄B統計學
附錄C圖像說明中的成像參數
……
