簡介
配分函式(英語: Partition function)是一個平衡態統計物理學中經常套用到的概念,經由計算配分函式可以將微觀物理狀態與巨觀物理量相互聯繫起來,而配分函式等價於自由能,與路徑積分在數學上有巧妙的類似。
配分函式通常意指正則系綜中的配分函式,而其他的系綜,亦有其相對應的配分函式,如巨正則系綜對應巨配分函式。
配分函式微正則系綜:
配分函式正則系綜:
配分函式巨正則系綜:
正則系綜的(固定溫度體系的)配分函式的定義是:
配分函式
配分函式
配分函式
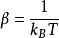
配分函式其中,為能級E的簡併度。求和對系統所有能級E進行;為玻爾茲曼常數; T為體系的絕對溫度。
不難看出配分函式實際是體系所有粒子在各個能級依最可幾分布排布時候對體系狀態的一個描述,由配分函式可以方便地求出體系的內能、熵、自由能等等熱力學量,內能的表達式:
配分函式自由能的表達式:
配分函式熵可以從以上線性組合得到:
配分函式
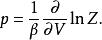
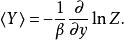
配分函式如果體系的能量中包含類似的一項,其中廣義力Y是微觀態的一個函式,y則是一個參數,那么廣義力的平均值為:
配分函式作為一種特別情況,壓強的表達式是:
配分函式統計力學
統計力學( Statistical mechanics)是一個以玻爾茲曼等人提出以最大熵度理論為基礎,藉由配分函式將有大量組成成分(通常為分子)系統中微觀物理狀態(例如:動能、勢能)與巨觀物理量統計規律 (例如:壓力、體積、溫度、熱力學函式、狀態方程等)連結起來的科學。如氣體分子系統中的壓力、體積、溫度。伊辛模型中磁性物質系統的總磁矩、相變溫度、和相變指數。
通常可分為平衡態統計力學,與非平衡態統計力學。其中以平衡態統計力學的成果較為完整,而非平衡態統計力學至今也在發展中。統計物理其中有許多理論影響著其他的學門,如資訊理論中的信息熵。化學中的化學反應、耗散結構。和發展中的經濟物理學這些學門當中都可看出統計力學研究線性與非線性等複雜系統中的成果。
正則系綜
正則系綜( canonical ensemble)是統計力學中系綜的一種。它代表了許多具有相同溫度的體系的集合。正則系綜是最普遍套用的系綜。

