多原子分子光譜
正文
與這些運動形態相應的電子能級、振動和轉動能級,形成了特徵的分子能級圖和特徵的分子光譜。分子的價電子在電子能級間的躍遷產生電子光譜。電子能級間的能量差一般為1~20eV,因此電子光譜通常位於可見、紫外光譜區。電子躍遷時總是伴隨有振動、轉動態的改變,振動能級的能量差一般為0.05~1eV,轉動能級的能量差一般小於0.05eV。這樣,多原子分子光譜就不再是線狀光譜,而是由譜帶系組成的帶狀光譜。不同譜帶系相當於不同的電子能級間的躍遷,每一譜帶系包含若干譜帶,不同的譜帶相當於不同的振動能級間的躍遷,同一譜帶內又包含若干光譜線,每一線相當於轉動能級間的躍遷。因此,光譜顯得十分複雜。在只有振動能級(一般還伴隨有轉動能級)間躍遷時,振動(振動-轉動)光譜通常位於近紅外區;只有轉動能級躍遷時,轉動光譜通常位於遠紅外和微波區。通過研究電子光譜,可以了解電子能級和電子態的狀況。從振動光譜可以獲得分子的形狀、成分、力常數等資料。從微波譜可以測定分子的轉動慣量,從而計算出分子中的核間距離和鍵間夾角。分子光譜不僅套用於分子結構的研究,還是物質分析的重要技術,特別是分子振動紅外光譜和喇曼光譜已經廣泛用於有機物的定性、定量分析中。
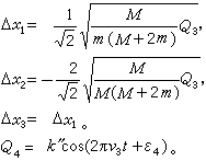
多原子分子的轉動和轉動光譜 忽略核振動和電子運動對轉動的影響,可得到分子純轉動的情況。若繞通過分子質心且方位角為(θ,嗞)的軸線的轉動慣量為I, 則
,
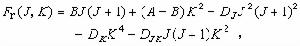
對(θ,嗞)作圖, 得到一個橢球體,它有三個互相垂直的主軸A、B、C,相對於這三個主軸的轉動慣量稱為至轉動慣量 IA、IB、Ic。按照主轉動慣量的不同情況可分類如下:三者各不相等的,稱為不對稱陀螺分子,如H2O分子;只有兩個相等的(IB=Ic≠IA),稱為對稱陀螺分子,如NH3分子;三者都相等的,叫作球形陀螺分子,如CCl4分子。線型分子可以看成是對稱陀螺分子的特例,這時繞對稱陀螺鏇轉軸方向的轉動慣量非常小 (IA≈0),慣量橢球接近圓柱形,如CO2、OCS分子。 從量子力學理論可知,對稱陀螺分子總角動量P2的本徵值為J(J+1)媡2,J=0,1,2,…,取對稱陀螺分子的n重(n>2)對稱軸為A軸,有IA≠IB=Ic,PA≠PB=Pc。PA的本徵值為 K媡,K=0,±1,±2,…,±J 。對稱陀螺分子轉動能級的譜項表示式為
Fr(J,K)=BJ(J+1)+(A-B)K2,
式中A=h/8π2IA,B=h/8π2IB。對稱陀螺分子轉動能級的躍遷選擇定則是△J=±1,
△K=0。
v=2B(J+1)。
在考慮核間距離的離心力修正後,轉動能級為
、
和
都是很小的修正值。 

大多數分子是不對稱陀螺分子,可以把它們看做從長形過渡到扁形對稱陀螺分子的中間情況。它們的轉動能級無法用簡單的公式表示,其光譜十分繁複,只有一些較簡單的輕原子組成的分子被研究過。在微波區(1mm~30cm)能直接觀測分子轉動能級間的躍遷,很輕分子的轉動光譜落在遠紅外區(50μm~1mm)。
分子的轉動光譜是由極性分子的偶極躍遷產生的,球形陀螺分子偶極矩為零,因此沒有轉動譜。
多原子分子的振動和振動光譜 分子處於確定的電子態並忽略分子的轉動,就是純振動的情況。由N個原子組成的分子具有3N個自由度,其中有三個屬於分子整體平動(質心沿x、y、z三個方向移動),三個屬於分子的轉動(對線型分子,只有兩個轉動自由度),其餘的屬於振動自由度,數目是3N-【6】。

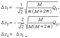
圖1a表示沿分子軸方向的線內對稱振動。三個原子以同一頻率v1振動。
,
Q1=k′cos(2πv1t+ε1),
式中ε1是初位相,這樣,各原子沿z軸的位移坐標是
,
多原子分子光譜
,
Q2=k′cos(2πv2t+ε2),
各原子沿z軸的位移坐標是
。
Q3=k″cos(2πv3t+ε3),
各原子沿x軸的位移坐標是

H2O分子是非線型分子,它有3N-6=3種簡正振動,如圖2所示。分子的簡正振動頻率是與分子中化學鍵的存在相應的,並且是化學鍵的特徵頻率。實際分子的振動頻率大約在1.2×1014~3×1012Hz左右,位於4000~100cm-1的紅外光譜區。
多原子分子光譜
多原子分子光譜
,
) 來描述分子的一個振動態及相應的振動能級。圖3是H2O的部分振動能級。振動量子數全為零的能級(0,0,0)稱為基能級。有一個量子數為 1,其餘都為零的能級,如(1,0,0)、(0,1,0)等稱為基頻能級。有一個量子數大於(或等於)2,其餘都為零的能級,如(2,0,0)、(0,3,0)等稱為泛頻能級。兩個以上的量子數不為零的能級,如(1,1,0)、(1,0,2)等稱為組合頻能級。 室溫下,大多數分子都處於基能級,吸收入射光從基能級到基頻能級的躍遷,產生紅外吸收光譜中的基頻帶,有時還可能出現從基能級到泛頻能級的倍頻帶、三倍頻帶以及從基能級到組合頻能級的組合頻帶。基頻帶的強度通常遠大於後二者的強度。
並非所有的簡正振動都對入射的紅外光產生共振吸收,只有那些使分子電偶極矩變化的簡正振動方式才能在紅外光譜中觀察到。而在喇曼光譜中能觀察到的簡正振動必須是引起極化率變化的。在紅外光譜中觀察到CO2的兩個強吸收帶,波數為667cm-1和2349cm-1,分別對應線外振動基頻v3和線內反對稱振動基頻v2。線上內對稱振動方式中,振動是中心對稱的,分子的偶極矩沒有變化,但是極化率在平衡位置附近有單調變化,因此v1隻出現在喇曼光譜中,波數數值為1340cm-1。
在計算分子簡正振動方式和簡正振動頻率時,利用分子的對稱性可以大大簡化處理,分子的對稱性是指分子中原子核排列的對稱性,核的種類和位置決定了這種對稱性,因為分子的對稱性質決定了光譜的特徵,所以單從分子模型的幾何形狀和對稱性就能預言基頻的數目以及它們在紅外光譜和喇曼光譜中出現的情況。可以構想分子具有某些對稱操作,經操作後,分子內原子核排列的圖形與初始圖形等效或恆等。分子對稱操作的集合具有數學上所定義的群的性質,因此稱這種集合為分子的對稱操作群。
用群論的方法來研究分子的振動是基於對稱分子的簡正振動方式及其相關聯的簡正坐標具有某些特有的對稱性,對稱操作群中的每一個操作作用於分子時,分子圖形中至少有一個點保持不動,這種群稱為點群,例如CO2屬於D∞h點群,H2O屬於C2v點群等。在處理對稱性高、原子數目很多的分子振動光譜時,常採用群論方法。同時用群論方法還可以簡便地獲得一些有關分子的信息。
實在分子的振動總是伴隨著轉動,使振動光譜具有轉動結構,稱為振(動)-轉(動)光譜。不同結構的分子具有不同的特徵振動頻率,這樣振動光譜便是分子(或基團)的一種特徵譜,成為研究分子結構、鑑定化合物和分析混合物組成成分的一種重要方法。
多原子分子的電子態和電子帶系光譜 與多原子分子電子結構和電子帶系光譜相關聯的問題尤為複雜。在研究多原子分子電子態時,一般也是採用玻恩-奧本海默近似(見雙原子分子電子態),即把分子中電子運動和分子的振動、轉動分開。由分子中的電子按最低能量狀態填充時的組態可以得知分子的基態。電子激發後可以形成一系列激發態。根據電子總自鏇量子數的取值可以形成多重性不同的激發態。通常用符號 塣表示分子基態,多重性與基態相同的激發態按能量增大的次序,用Ä、愌、愖、…表示;不同多重性的激發態按能量增大的次序,用、愋、愖、…表示。每個電子態內還包含許多振動態和轉動態,分子可以激發到任何可能的振動轉動能級。分子的總能量是電子能量、振動能量和轉動能量之和。用譜項表示時寫成

多原子分子的電子發生躍遷時,電子能量和振動、轉動能量可以同時發生變化,形成的電子譜帶系的頻率為

電子光譜帶位於真空紫外、紫外及可見區的範圍內。近代真空紫外光譜技術和研究自由基技術的發展,使得多原子分子電子帶系的研究有了迅速發展的可能。通過電子帶系的研究,可以獲得各種電子態以及振-轉能級的信息,從而了解這些分子的電子分布、分子在電子激發態中的幾何結構、電離勢、離解能等。對於化學上不穩定的分子(如自由基)以及多原子分子的離子,也可以從電子帶系光譜中獲得有關電子基態的知識。
參考書目
G. Herzberg,Molecular Spectra and Molecular Structure,Vo1.2.3,D.Van Nostrand, New York, 1945, 1966.
E.B.Wilson,Jr.,et αl., Molecular Vibrations,McGraw-Hill, New York, 1955.

