概念
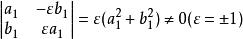
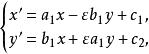
相似變換群(similar transformation group )亦稱拋物度量群。簡稱相似群。是一類基本的變換群。平面上所有相似變換的集合構成群,稱為相似變換群。它是一個四維群。仿射變換群的子群。在仿射變換中若保持一對點I(1,i,0),J(1,-i,0)不變,則為相似變換。相似變換的代數表達式為:
相似變換群
相似變換群當I→I,J→J時,ε=1為同向的相似變換;當I→J,J→I時,ε=-1為異向的相似變換。相似變換保持同素性,結合性及共線三點的單比不變,還保持兩直線所構成的角度不變。相似變換把一個圖形變為與它相似的圖形。與相似變換群相對應的幾何學稱為相似幾何學或拋物幾何學。
群
群是一種只有一個運算的、比較簡單的代數結構;是可用來建立許多其他代數系統的一種基本結構。
設G為一個非空集合,a、b、c為它的任意元素。如果對G所定義的一種代數運算“·”(稱為“乘法”,運算結果稱為“乘積”)滿足:
(1)封閉性,a·b∈G;
(2)結合律,即(a·b)c = a·(b·c);
(3)對G中任意元素a、b,在G中存在惟一的元素x,y,使得a·x= b,y·a=b,則稱G對於所定義的運算“·”構成一個群。例如,所有不等於零的實數,關於通常的乘法構成一個群;時針轉動(關於模12加法),構成一個群。
滿足交換律的群,稱為交換群。
群是數學最重要的概念之一,已滲透到現代數學的所有分支及其他學科中。凡是涉及對稱,就存在群。例如,可以用研究圖形在變換群下保持不變的性質,來定義各種幾何學,即利用變換群對幾何學進行分類。可以說,不了解群,就不可能理解現代數學。
1770年,拉格朗日在討論代數方程根之間的置換時,首先引入群的概念,而它的名稱,是伽羅華在1830年首先提出的。
變換群
變換群是幾何學研究的重要對象。即由變換構成的群。設G是集合S的一一變換所構成的集合,若它滿足:
1.集合內任二變換之積仍屬於這集合;
2.集合內任一變換的逆變換仍屬於這集合,
則稱G為S的一個變換群。例如,平面上正交變換的全體構成的變換群稱為正交群;平面上仿射變換的全體構成的變換群稱為仿射群。平面上射影變換的全體構成的變換群稱為射影群。在“埃爾朗根綱領”中,變換群可用來對幾何學進行分類。
一組變換,對變換的乘積構成的群。設G為M上的有限或無限個變換的集合,若滿足下面兩個條件:①集合G中任意兩個變換的乘積仍屬於G;②集合G中每一個變換必有其逆變換,而且這個逆變換也屬於G,則稱G為M上的一個變換群。
例如,平移變換可以構成一個群:平面上任意兩個平移變換的積仍是平移變換;每個平移變換都有逆變換,這個逆變換就是按原變換相反方向的變換,所以仍是平移變換。
用變換群來研究對應的幾何學的觀點,是由德國數學家克萊茵首先提出來的.1872年,克萊茵在埃爾朗根大學的教授就職演講中,提出題為《關於近代幾何研究的比較》的論文,論述了變換群在幾何中的主導作用。他把到當時為止已發現的所有的幾何,統一在變換群的觀點之下,明確地給出了幾何的一種新定義,即把幾何定義為在某個變換群之下研究圖形不變性質與不變數的一門科學.這種觀點突出了變換群在研討幾何中的地位,為用近代數學方法研究幾何學開闢了道路,因此後來把它簡稱為《埃爾朗根綱領》。
按照變換群的觀點,幾何學可以這樣分類:研究射影變換群、仿射變換群、相似變換群、正交變換群下不變性質和不變數的幾何學分別是射影幾何學、仿射幾何學、拋物幾何學、歐氏幾何學.正交變換群也稱為運動群,歐氏幾何學的主要內容就是研究運動群下不變性質和不變數的幾何學.近代發展很快、套用越來越廣的一門學科——拓撲學,就是研究拓撲變換下不變性質和不變數的幾何學。
仿射變換群
仿射變換群簡稱仿射群。一類基本的變換群。即由仿射空間中全體仿射變換所構成的變換群。例如,平面上的全體仿射變換構成平面上的仿射變換群,它是平面射影變換中以無窮遠直線為絕對形的自同構群。空間中全體仿射變換構成空間的仿射變換群,它是空間射影變換中以無窮遠平面為絕對形的自同構群。研究在仿射群下不變性質與不變數的幾何稱為仿射幾何。
