人物經歷
狄利克雷是德國數學家。1805年2月13日生於迪倫;1859年5月5日卒於哥廷根。
狄利克雷出生於一個具有法蘭西血統的家庭。自幼喜歡數學,在12歲前就將零用錢攢起來買數學書閱讀。16歲中學畢業後,父母希望他學習法律,但狄利克雷卻決心攻讀數學,他先在迪倫學習,後到哥廷根受業於高斯。1822年到1827年間旅居巴黎當家庭教師。在此期間,他參加了以傅立葉為首的青年數學家小組的活動,深受傅立葉學術思想的影響。1827年在波蘭布雷斯勞大學任講師。1829年任柏林大學講師,1839年升為教授。1855年,高斯逝世後,他作為高斯的繼任者被哥廷根大學聘任為教授,直至逝世。他1831年被選為普魯士科學院院士,1855年被選為英國皇家學會會員。
狄利克雷16歲通過中學畢業考試後,父母希望他攻讀法律,但他已選定數學為其終身職業。當時的德國數學界,除高斯一人名噪歐洲外,普遍水平較低;又因高斯不喜好教學,於是狄利克雷決定到數學中心巴黎上大學,那裡有一批燦如明星的數學家,諸如P.S.拉普拉斯(Laplace)、A.勒讓德(Legendre)、J.傅立葉(Fourier)、S.泊松(Poisson)、S.拉克魯瓦(Lacroix)、J.B.比奧(Biot)等等。
1822年5月,狄利克雷到達巴黎,選定在法蘭西學院和巴黎理學院攻讀;其間因患輕度天花影響了聽課,幸好時間不長。1823年夏,他被選中擔任M.法伊(Fay)將軍的孩子們的家庭教師。法伊是拿破崙時代的英雄,時任國民議會反對派的領袖。狄利克雷擔任此職,不僅收入頗豐,而且受到視如家人的善待,還結識了許多法國知識界的名流。其中,他對數學家傅立葉尤為尊敬,受其在三角級數和數學物理方面工作的影響頗深。另一方面,狄利克雷從未放棄對高斯1801年出版的數論名著《算術研究》(Dispui-sitiones arithmeticae)的鑽研。據傳他即使在旅途中也總是隨身攜帶此書,形影不離。當時還沒有其他數學家能完全理解高斯的這部書,狄利克雷是第一位真正掌握其精髓的人。可以說,高斯和傅立葉是對狄利克雷學術研究影響最大的兩位數學前輩。
約翰·彼得·古斯塔夫·勒熱納·狄利克雷 1825年,狄利克雷向法國科學院提交他的第一篇數學論文,題為“某些五次不定方程的不可解”(Mémoire sur L'impossibilite de quelques équations indéterminées du cinquieme degré)。他利用代數數論方法討論形如x5+y5=A·z5的方程。幾周后,勒讓德利用該文中的方法證明了 當n=5時無整數解;狄利克雷本人不久也獨立證明出同一結論。(後來狄利克雷再次研究費馬大定理時,證明n=14時該方程無整數解。)
1825年11月,法伊將軍去世。1826年,狄利克雷在為振興德國自然科學研究而奔走的A.洪堡(von Humboldt)的影響下,返回德國,在布雷斯勞大學獲講師資格(他在法國未攻讀博士學位,而由科隆大學授予他榮譽博士頭銜,這是獲講師資格的必要條件),後升任編外教授(extraordinary professor,為介於正式教授和講師之間的職稱)。
1828年,狄利克雷又經洪堡的幫助來到學術空氣較濃厚的柏林,任教於柏林軍事學院。同年,他又被聘為柏林大學編外教授(後升為正式教授),開始了他在柏林長達27年的教學與研究生涯。由於他講課清晰,思想深邃,為人謙遜,諄諄善誘,培養了一批優秀數學家,對德國在19世紀後期成為國際上又一個數學中心產生了巨大影響。
1831年,狄利克雷成為柏林科學院院士。同年,他和哲學家M.孟德爾頌(Mende1ssohn)(音樂家費利克斯·孟德爾頌之姐)的外孫女麗貝卡·孟德爾頌-巴托爾特(Rebecca Mendelssohn-Bartholdy)結婚。
1855年高斯去世,狄利克雷被選定作為高斯的繼任到哥廷根大學任教。與在柏林繁重的教學任務相比,他很欣賞在哥廷根有更多自由支配的時間從事研究(這一時期主要從事一般力學的研究)。可惜美景不長,1858年夏他去瑞士蒙特勒開會,作紀念高斯的演講,在那裡突發心臟病。狄利克雷雖平安返回了哥廷根,但在病中遭夫人中風身亡的打擊,病情加重,於1859年春與世長辭。
科學研究
數論
在數論方面,他對高斯的’《算術研究》進行了研究,並有所創新,對費馬大定理,他給出當n=14時,無整數解的證明;還探討了二次型、多項式的因子、二次和雙二次互反德等等問題;還開創了解析數論的研究。
狄利克雷在柏林的早期數論工作,集中在改進高斯在《算術研究》及其他數論文章中的證明或表述方式。如高斯給出的二次互反律的第一個證明相當煩瑣,需對8種情形作分別的處理;狄利克雷簡化了這一證明,把全部情形歸結為2種。其後,他在高斯的理論中引入了一些更深入的問題和結果。如為解二元型理論中的某些困難問題,他開始討論三元型的課題,提出了一個富有成果的新領域。1837年7月27日,狄利克雷在柏林科學院會議上,提交了對勒讓德的一個猜想的解答,他證明任一形如an+b,n=0,1,2,…的算術級數,若a,b互素,則它含有無窮多個素數(即算術級數的素是複數)和二元二次型類數的計算等分析學工具和方法,成為解析數論的開創性工作。
1842年,狄利克雷開始研究具有高斯係數的型,首次運用了“盒子原理”——若將多於n個的物體放入n個盒子,則至少有一個盒子含有多於一個的物體,它在現代數論的許多論證中起重要作用。
1846年,他在屬於代數數論的單元理論的文章“復單元理論(Zur Theorie der complexen Einheiten)中,獲得了一個漂亮而完整的結果,現稱狄利克雷單元定理:對由一個不可約方程及其r個實根和s對復根定義的代數數域 K=Q(α),一切單元構成的阿貝爾群的秩為r+s-1,其有限階元部分由域中單位根組成。
1863年,狄利克雷的《數論講義》(Vorlesungen über Zahlen-theorie)由他的學生和朋友R.戴德金(Dedekind)編輯出版,這份講義不僅是對高斯《算術研究》的最好注釋,而且融進了他在數論方面的許多精心創造,之後多次再版,成為數論經典之一。
分析
在分析方面,他最卓越的工作是對傅立葉級數收斂性的研究。他在1822——1825年期間在巴黎會見傅立葉之後,對傅立葉級數產生了興趣。日本數學家丸山哲郎說:“把任意函式用三角級數表示出來的傅立葉方法,被狄利克雷所繼承,他給出了關於傅立葉級數的收斂性證明。”
約翰·彼得·古斯塔夫·勒熱納·狄利克雷
約翰·彼得·古斯塔夫·勒熱納·狄利克雷
約翰·彼得·古斯塔夫·勒熱納·狄利克雷
約翰·彼得·古斯塔夫·勒熱納·狄利克雷
約翰·彼得·古斯塔夫·勒熱納·狄利克雷 狄利克雷是19世紀分析學嚴格化的倡導者之一。1829年,他在克雷爾(Crell)雜誌發表了他最著名的一篇文章“關於三角級數的收斂性”(Sur la convergence des séries trigonométri-ques)。該文是在傅立葉有關熱傳導理論的影響下寫成的,討論任意函式展成形如:1/2 +( cosx+ sinx)+( cos2x+ sin2x)+…的三角級數(現稱傅立葉級數)及其收斂性。早在18世紀,D.伯努利(Bernoulli)和L.歐拉(Euler)就曾在研究弦振動問題時考察過這類級數。傅立葉在19世紀初用它討論熱傳導現象,但未慮及其收斂性.A.L.柯西(Cauchy)在1823年開始考慮它的收斂問題。狄利克雷在文中指出柯西的推理不嚴格,其結論也不能涵蓋某些已知其收斂性的級數。他進而考慮形式上對應於給定函式f(x)的三角級數的前n項的和,檢驗它跟f(x)的差是否趨於零,後成為判斷級數收斂的經典方法。狄利克雷證明:若f(x)是周期為2π的周期函式,在-π
1837年,狄利克雷再次回到上述課題,發表題為“用正弦和餘弦級 tionen durch Sinus-und Cosinusreihen)的文章,其中擴展了當時普遍採用的函式概念(即由數學符號及運算組成的表達式為函式的概念),引入了現代的函式概念:若變數y以如下方式與變數x相關聯,即只要給x指定一個值,按一個規則可確定唯一的y值,則稱y是獨立變數x的函式。為說明該規則具有完全任意的性質,狄利克雷舉出了“性狀極怪”的函式實例:當x為有理數時,y=c;當x為無理數時,y=d≠c 現稱狄利克雷函式)。但狄利克雷的連續函式概念仍是直觀的,並根據等距取函式值求和的方法定義其積分。在此基礎上,狄利克雷建立了傅立葉級數的理論。
數學物理
狄利克雷在數學和力學兩個領域都做出了名垂史冊的重大貢獻,尤以分析、數論、位勢論為最。著名數學家阿貝爾說:“狄利克雷是一位極有洞察力的數學家。”
1839年,狄利克雷發表了3篇涉及力學的數學論文,討論多重積分估值的方法,用於確定橢球體對其內部或外部任意質點的引力,開始了他對數學物理問題的研究。這方面最重要的文章發表於1850年,提出了研究拉普拉斯方程的邊值問題(現稱狄利克雷問題或第一邊值問題):求滿足偏微分方程的位勢函式V(x,y,z),使它在球面邊界上取給定的值。這一類型的問題在熱力學和電動力學中特別重要,也是數理方程研究中的基本課題。狄利克雷本人曾用所謂的狄利克雷原理給出了問題的解。1852年,他討論球在不可壓縮流體中的運動,得到流體動力學方程的第一個精確解。
人物著作
勒熱納·狄利克雷逝後,其朋友且學生數學家戴德金將其數論的講述和其他結果整理、編輯,在1863年出版了他的遺著《數論講義》,其中包含了他在數論方面的許多成果。在分析方面,他先後發表了《關於三角級數的收斂性》、《用正弦和餘弦級數表示完全任意函式》,其中進一步發展了傅立葉級數的理論,並提出新的單值函式概念,還提出所謂“狄利克雷函式”、所謂“狄利克雷積分”等。他還在位勢論、熱學、磁學、數學物理等方面也有一些創造。
狄利克雷很注重同德、法等外國數學家的交流。其主要論文收集在《狄利克雷論文集》里,共2卷,分別出版於1889年和1897年。
狄利克雷定理
1.簡介
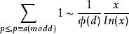
在數論中, 狄利克雷定理說明對於任意互質的兩個數a,d,有無限多個質數的形式如a+nd,其中n為正整數,即在算術級數a+d,a+2d,a+3d……中有無限多個質數——有無限個質數模d同餘a。 狄利克雷 函式無法畫出圖像
2.相關定理
歐幾里得證明了有無限個質數,即有無限多個質數的形式如2n+1。
算術級數的質數定理:若a,d互質,則有
約翰·彼得·古斯塔夫·勒熱納·狄利克雷 其中φ是歐拉函式。取d=2,可得一般的質數定理。
Linnik定理說明了級數中最小的質數的範圍:算術級數a+nd中最小的質數少於c*d^L,其中L和c均為常數,但這兩個常數的最小值尚未找到。
Chebotarev密度定理是在狄利克雷定理在伽羅瓦擴張的推廣。
分析學中,狄利克雷(Dirichlet)判別法是分析學中一條十分重要的判定法則,主要用於判定任意項數項級數的收斂、函式項級數的一致收斂、反常積分的收斂以及含參變數反常積分的一致收斂等。
1834年提出鴿巢定理(即抽屜原理),當時命名為Schubfachprinzip (drawer principle).
家庭情況
狄利克雷於1805年2月13日生於德國迪倫,1859年5月5日卒于格丁根。
其家庭來自比利時的市鎮利克雷(Richelet),此乃其姓氏勒熱納·狄利克雷(le jeune de Richelet = 法語:來自利克雷的小伙子),他的祖父就生活在那裡。狄利克雷出身於行政官員家庭,他父親是一名郵政局長。狄利克雷少年時即表現出對數學的濃厚興趣,據說他在12歲前就自攢零用錢購買數學圖書。1817年入波恩的一所中學,除數學外,他對近代史有特殊愛好,人們稱道他是個能專心致志又品行優良的學生。兩年後,他遵照父母的意願轉學到科隆的一所教會學校,在那裡曾從師物理學家歐姆(Ohm),學到了必要的物理學基礎知識。
其妻瑞貝卡·孟德爾頌(Rebecca Mendelssohn)是音樂家費利克斯·孟德爾頌的妹妹。

