數列
數列(sequence of number)是以正整數集(或它的有限子集)為定義域的函式,是一列有序的數。數列中的每一個數都叫做這個數列的項。排在第一位的數稱為這個數列的第1項(通常也叫做首項),排在第二位的數稱為這個數列的第2項,以此類推,排在第n位的數稱為這個數列的第n項,通常用an表示。
數列的一般形式簡記為{an}。
數列中的項必須是數,它可以是實數,也可以是複數。
用符號{an}表示數列,只不過是“借用”集合的符號,它們之間有本質上的區別:1.集合中的元素是互異的,而數列中的項可以是相同的。2.集合中的元素是無序的,而數列中的項必須按一定順序排列,也就是必須是有序的。
著名的數列有斐波那契數列,三角函式,卡特蘭數,楊輝三角等。
項數有限的數列為“有窮數列”(finite sequence)。
項數無限的數列為“無窮數列”(infinite sequence)。
介紹
數列中的項無窮多的數列叫做無窮數列。形如:1,2,3,4,5,6...就是一個無窮的等差數列。
特點
有省略號的,未知字母不加約束條件的,與實際無關,未說明有效數字位數的。
通項公式
在人教社高中數學新教材(試驗修訂本·必修)第一冊(上)《數列》一章的開頭,就提到如下無窮數列:
無窮數列的精確到1,0.1,0.01,0.001,…的不足近似值構成的數列:1,1.4,1.41,1.414,… .
實際上,像這樣的數列在中學數學教學中經常遇到,可以統一歸結為以下一類無窮數列:
無窮數列若α為無理數,將α依次精確到個位,十分位,百分位,千分位,…的不足(或過剩)近似值構成的數列。
其實,我們僅用大家熟知的函式{x}(表示實數x的小數部分),就能十分方便地給出這類無窮數列的一個通項公式。
無窮數列
無窮數列
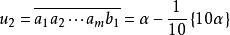
無窮數列將無理數α表示成無限不循環小數,(其中、為0~ 9中的數字,a1≠ 0,j= 1,2,3,…),依次取α的精確到個位,十分位,百分位,千分位,…的不足近似值:
無窮數列
無窮數列
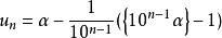
無窮數列一般地,其中{x}表示x的小數部分)。
無窮數列
無窮數列類似地,我們容易推得無理數α精確到個位、十分位、百分位、千分位…的過剩近似值構成的數列的一個通項公式為:(其中{x}表示x的小數部分)。

