定義
費波那契數列(義大利語:Successione di Fibonacci),又譯為 費波拿契數、 斐波那契數列、 費氏數列、 黃金分割數列。
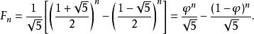
在數學上, 費波那契數列是以遞歸的方法來定義:
Fibonacci數列
Fibonacci數列
Fibonacci數列用文字來說,就是費波那契數列由0和1開始,之後的費波那契係數就是由之前的兩數相加而得出。首幾個費波那契係數是:
0,1,1,2,3,5,8,13,21,34,55,89,144,233……(OEIS中的數列A000045)
特別指出:0不是第一項,而是第零項。
源起
根據高德納(Donald Ervin Knuth)的《電腦程式設計藝術》( The Art of Computer Programming), 1150年印度數學家Gopala和金月在研究箱子包裝物件長寬剛好為1和2的可行方法數目時,首先描述這個數列。在西方,最先研究這個數列的人是比薩的列奧那多(義大利人斐波那契Leonardo Fibonacci),他描述兔子生長的數目時用上了這數列:
•第一個月初有一對剛誕生的兔子
•第二個月之後(第三個月初)它們可以生育
•每月每對可生育的兔子會誕生下一對新兔子
•兔子永不死去
假設在n月有兔子總共a對,n+1月總共有b對。在n+2月必定總共有a+b對:因為在n+2月的時候,前一月(n+1月)的b對兔子可以存留至第n+2月(在當月屬於新誕生的兔子尚不能生育)。而新生育出的兔子對數等於所有在n月就已存在的a對。
與黃金分割
克卜勒發現數列前、後兩項之比1/2 ,2/3 , 3/5 ,5/8 ,8/13 ,13/21 ,21/34 ,...... ,也組成了一個數列,會趨近黃金分割:
Fibonacci數列斐波那契數亦可以用連分數來表示:
Fibonacci數列
Fibonacci數列而黃金分割數亦可以用無限連分數表示:
Fibonacci數列而黃金分割數也可以用無限多重根號表示:
Fibonacci數列和自然的關係
Fibonacci數列
Fibonacci數列許多的生物構成都和斐波那契數列有正相關。例如人體從腳底至頭頂之距離和從肚臍至腳底之距趨近於,向日葵的種子螺旋排列有99%是。
恆等式
證明以下的恆等式有很多方法。以下會用組合論述來證明。
Fibonacci數列可以表示用多個1和多個2相加令其和等於n的方法的數目。
Fibonacci數列
Fibonacci數列
Fibonacci數列不失一般性,我們假設,F是計算了將1和2加到n的方法的數目。若第一個被加數是1,有種方法來完成對n-1的計算;若第一個被加數是2,有F來完成對n-2的計算。因此,共有種方法來計算n的值。
Fibonacci數列計算用多個1和多個2相加令其和等於n+1的方法的數目,同時至少一個加數是2的情況。
如前所述,當n>0,有F種這樣的方法。因為當中只有一種方法不用使用2,就即1+1+...+1(n+1項),於是我們從 F減去1。
若第1個被加數是2,有 F種方法來計算加至n-1的方法的數目;
若第2個被加數是2、第1個被加數是1,有F種方法來計算加至 n-2的方法的數目。
重複以上動作。
若第n+1個被加數為2,它之前的被加數均為1,就有F種方法來計算加至0的數目。
1.若第1個被加數是2,有 F種方法來計算加至n-1的方法的數目;
2.若第2個被加數是2、第1個被加數是1,有F種方法來計算加至 n-2的方法的數目。
3.重複以上動作。
4.若第n+1個被加數為2,它之前的被加數均為1,就有F種方法來計算加至0的數目。
Fibonacci數列若該數式包含2為被加數,2的首次出現位置必然在第1和n+1的被加數之間。2在不同位置的情況都考慮到後,得出為要求的數目。
Fibonacci數列
Fibonacci數列
Fibonacci數列
Fibonacci數列
Fibonacci數列相關的數列
反費波那西
反費波那西數列的遞歸公式如下:
Fibonacci數列如果它以1,-1,之後的數是:1,-1,2,-3,5,-8, ...
Fibonacci數列即是。
Fibonacci數列反費波那西數列兩項之間的比會趨近。
巴都萬數列
Fibonacci數列費波那西數列可以用一個接一個的正方形來表現,巴都萬數列則是用一個接一個的等邊三角形來表現,它有的關係。
套用
1970年,尤里·馬季亞謝維奇指出了偶角標的斐波那契函式
Fibonacci數列正是滿足Julia Robison假設的丟番圖函式,因而證明了希爾伯特第十問題是不可解的。
相關猜想
斐波那契數列中是否存在無窮多個素數?
在斐波那契數列中,有素數: 2, 3, 5, 13, 89, 233, 1597, 28657, 514229, 433494437, 2971215073, 99194853094755497, 1066340417491710595814572169, 19134702400093278081449423917…… 目前已知最大素數是第81839個斐波那契數,一共有17103位數。

