基本介紹
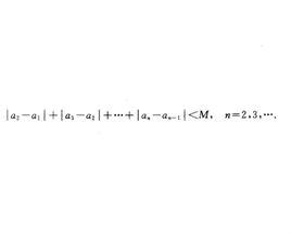
有界變差數列是一類重要的數列,指其差分絕對值之和有界的數列。對這樣的數列{x},存在常數C,滿足:
|x-x|+|x-x|+…+|x-x|<C,
其中n=1,2,…有界變差數列必是收斂數列,但反之不一定成立 。
有界變差數列必收斂
有界變差數列
有界變差數列
有界變差數列
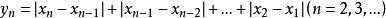
有界變差數列證明:有界變差數列必是收斂數列,但反之不一定成立。分析令,利用單調有界原理證明數列{y}收斂,然後再利用柯西收斂準則證明數列{x}收斂 。證明 令。那么{y}單調遞增且有上界,所以{y}收斂。由柯西收斂準則,對,存在正整數N,當m>n>N時有,即
有界變差數列於是對數列{x},當m>n>N時有
有界變差數列所以數列{x}收斂。
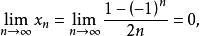
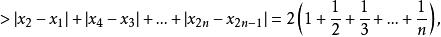
有界變差數列反之不一定成立,例如數列,它是以0為極限的收斂數列,但它不是有有界變差的,事實上,
有界變差數列
有界變差數列
有界變差數列
有界變差數列
有界變差數列而數列是發散的,又是遞增的,所以,於是不是有界的 。
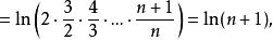
有界變差數列【例1】
有界變差數列
有界變差數列但
有界變差數列
有界變差數列
有界變差數列
有界變差數列
有界變差數列
有界變差數列對任意c>0,只要n>e 就有>c,
數列{x}收斂,但它沒有有界變差。

