定義
它的另外幾種定義如下:
定義一
設區間(a,b)被點a=x0<x1<…<xn=b所劃分,若
有界變差函式常小於一個與劃分方法無關的常數,則稱函式在(a,b)中有界變差.這種和數的上確界稱為全變差 .
定義二
設f是定義在區間[a,b]上的函式,考察[a,b]上的任意一組分點:a=x0<x1<…<xn=b,當分點變動時,稱上確界
有界變差函式
有界變差函式
有界變差函式為f在[a,b]上的全變差(或全變分).並記為.若<+∞.則稱f為[a,b]上的有界變差函式(或囿變函式) .
定義三
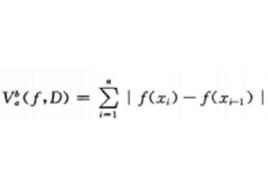
設f(x)為定義在[a,b]上的函式,任取[a,b]的分割D:a=x0<x1<…<xn=b,
令
有界變差函式
有界變差函式
有界變差函式稱(f,D)為f(x)關於分割D的變差,若變差(f,D)都不超過某個正常數,即存在M>0,使對一切分割D,
有界變差函式(f,D)≤M,
有界變差函式
有界變差函式
有界變差函式則稱f(x)為[a,b]上的有界變差函式。記(f)=sup(f,D),稱(f)為f(x)在[a,b]上的全變差或總變差。
性質
1.單調函式是有界變差函式.
2.有限個有界變差函式的和、差、乘積仍為有界變差函式.
3.兩個有界變差函式之商(分母不為零)仍為有界變差雨數.
4.(Jordan分解定理)f為[a,b]上的有界變差函式的充要條件是f可表為兩個不減的非負函式之差.
5.(Lebesgue) 若f是[a,b]上的單凋函式.則f在[a,b]上幾乎處處可微。
6.絕對連續函式必是有界變差函式.
7.若f(x)是[a,b]上的有界變差函式,則∣f(x)∣在[a,b]上必為有界變差函式;
有界變差函式
有界變差函式
有界變差函式8.設f(x)是[a,b]上的有界變差函式,且a<c<b,則f(x)在[a,c]和[c,b]上均為有界變差函式,且有(f)=(f)+(f);
9.設f(x),g(x)都是[a,b]上有界變差函式,α、β為兩個常數,則αf(x)+βg(x)是[a,b]上的有界變差函式;
10.設f(x),g(x)都是[a,b]上有界變差函式,則f(x)g(x)在[a,b]上亦為有界變差函式;
有界變差函式
有界變差函式11.設{fn(x)}為[a,b]上的有界變差函式列,且{(fn)}有界=f(x),則f(x)在[a,b]上為有界變差函式 。
推論:有界變差函式幾乎處處可微 .

