簡述
Normal Probability Paper正態機率紙是一種具有特殊刻度的坐標紙,它能使正態變數的取值x和對應的分布函式值F(x)組成的數對(x,F(x))在這張機率紙上呈現出一條直線。眾所周知在一般直角坐標系中,常態分配函式的圖形是一條曲線,而且不少分布函式的圖形也有類似的形狀,因此從曲線形狀上來判斷正態性非常困難,而在正態機率紙上,只有常態分配函式的圖形是直線,其他分布函式的圖形是曲線,這就大大提高了判斷常態分配的能力。
利用正態機率紙對質量數據進行分析,與直方圖相比具有信息量大、解決問題更迅速的優點,特別適宜在現場使用。
利用正態機率紙來檢驗總體的正態性,方法簡易、直觀,不過結論往往比較粗略,有時,作結論時不同人員還可能發生爭議,儘管如此,此法仍有較大的實用價值。
構造原理
正態機率紙
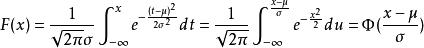
正態機率紙設總體X有分布函式: 表示常態分配族,需要檢驗假設 。
這裡,μ和σ²均為未知參數,在原假設為真時,通過中心化變換
正態機率紙
正態機率紙即:
服從正態N(0,1)。函式u(x)是x線性函式,在[x,u(x)]直角坐標平面上是一條直線,這條直線過點(μ,0),且斜率為1/σ。
正態機率紙
正態機率紙
正態機率紙
正態機率紙為了便於套用,在平面上不標出點,而直接標出,我們以橫軸上的刻度表示x;在縱軸上,先刻出u的刻度(均勻),而後根據u的值,從正態N(0,1))分布表中查出對應的分布函式φ(u),刻在u的位置上(不均勻)。例如在u=2的位置上刻上97.72(%),u=1的位置上刻上84.13(%),u=0的位置上刻上50(%)等。然後把u的刻度抹去,留下x與F(%)的刻度就構成一張正態機率圖紙。由於常態分配在中連續變化,而又不能在圖紙上表出的點,所以常用的正態機率紙的縱輔刻摩隔千從0.01到99.99。
使用步驟
1、收集數據作頻數分布表。
2、計算經驗分布機率。
3、在正態機率紙上確定橫座標,確定原則與作直方圖時相同。
4、在橫座標上確定各組組中值的位置,相對應在縱座標上確定分布機率值,二者一一對應得到若於個點,連線各點畫成直線或曲線。
5、計算和分析。
1).各點連線,若近似為一條直線,說明基本符合常態分配,若呈曲線則說明不符合常態分配;
正態機率紙2).直線與對應縱坐標50%的水平線相交點的橫座標刻度值即為;
正態機率紙3).直線與對應縱坐標84%(σ)的水平線相交點的橫座標刻度值與的差即為標準偏差S。
用途
與頻率直方圖相比,使用正態機率紙免去大量的計算工作,所以,在判斷統計數據是否服從常態分配時,可以用正態機率紙代替頻率直方圖。正態機率紙除了用來判斷統計數據是否服從常態分配外,還用於:
①檢查統計數據中是否存在離群值;
②求樣本總體平均值μ和總體標準偏差σ的估計值;
③求統計數據的極差R;
④求過程能力指數Cp和Cpk;
⑤估計不合格品率;
⑥求偏移量ε和公差中心M。

