定義
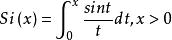
正弦積分正弦積分函式的定義為:,本函式採用勒讓德-高斯求積公式計算該積分。
正弦積分函式表
正弦積分函式表
正弦積分,函式表如右圖所示
正弦積分函式圖像
正弦積分函式圖像正弦積分函式圖像如右圖所示
有圖像可得正弦積分函式的性質有:
(1)Si(x)為奇函式,即Si(-x)=-Si(x);
正弦積分
正弦積分(2)當時,則;
正弦積分
正弦積分
正弦積分
正弦積分(3)在的區間內,當x=奇數倍時,Si(x)有極大值;當x=偶數倍時,Si(x)有極小值。在的區間內,情況基本相同,只是多了一個負號 。
正弦積分的計算
正弦積分求
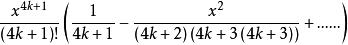
正弦積分上式是一個麥克勞林冪級數展開式,此式形式簡單,推倒容易,使用方便,但可以改寫為:
正弦積分式中,k=0,1,2,......
上式所表示的無窮級數肯定是收斂的,越後面的項絕對值越小。如果它已經小於一個很小的正整數
正弦積分
正弦積分,則不必再算了。這個就稱作截止量。
弦函式圖像眾所周知,不管哪種型號的計算機都會有捨入誤差,所以使用 上述公式計算Si(x)時都有一定的精度。實驗數值結果表明,字長為48位的計算機,只要x小於23就可以套用。字長為32位的計算機, x小於10還是保險的。
正弦積分
正弦積分當自變數超過23時,有一個如下形式的常用近似式,],使用該式,當x值變大時,精度有所提高.但只能滿足小數點後兩位需建立一個較高精度的經驗公式:。

