簡介
一些簡單的含有三角函式的積分,可在三角函式積分表中找到。而 三角積分是一種非初等函式,含有三角函式的一種積分。一些簡單的含有三角函式的積分,可在三角函式積分表中找到 。
分類
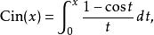
1.正弦積分
有兩種不同的正弦積分:
三角積分
三角積分
三角積分
三角積分
三角積分
三角積分
三角積分
三角積分
三角積分是 的原函式,當 時為零; 是 的原函式,當 時為零。我們有:
三角積分注意到 是sinc函式,也是第零個球貝塞爾函式。
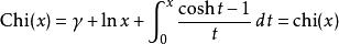
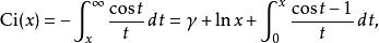
2.餘弦積分
餘弦積分定義為:
三角積分
三角積分兩者將的關係式為:
三角積分
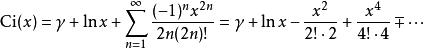
三角積分其中 是歐拉-馬歇羅尼常數。
三角積分
三角積分
三角積分是 的原函式,當 時為零。我們有:
三角積分
三角積分3.雙曲正弦積分
三角積分
圖1.雙曲正弦積分4.雙曲餘弦積分
三角積分
圖2.雙曲餘弦積分展開式
有各種各樣的展開式,可以用於計算三角積分 。
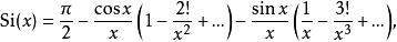
1.漸進展開
三角積分
三角積分這些級數是發散的,但可以用來估計,甚至是精確計算三角積分。
2.冪級數展開
三角積分
三角積分
三角積分
三角積分這些級數對於任何複數的 都是收斂的,但當 時,計算非常緩慢,也不是很精確。
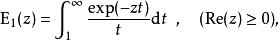
與指數積分的關係
三角積分函式 稱為指數積分,與正弦和餘弦積分有以下的關係:
三角積分相關知識
•指數積分
•對數積分

