定義
在積分學中, 橢圓積分最初出現於橢圓的弧長有關的問題中。Guilio Fagnano和歐拉是最早的研究者。現代數學將 橢圓積分定義為可以表達為如下形式的任何函式f的積分
橢圓積分其中R是其兩個參數的有理函式,P是一個無重根的3或4階多項式,而c是一個常數。
橢圓積分通常,橢圓積分不能用基本函式表達。這個一般規則的例外出現在P有重根的時候,或者是R,沒有 y的奇數冪時。但是,通過適當的簡化公式,每個橢圓積分可以變為只涉及有理函式和三個經典形式的積分。(也即,第一,第二,和第三類的橢圓積分)。
橢圓積分
橢圓積分除下面給出的形式之外,橢圓積分也可以表達為勒讓德形式和Carlson對稱形式。通過對施瓦茨-克里斯托費爾映射的研究可以加深對橢圓積分理論的理解。歷史上,橢圓函式是作為橢圓積分的逆函式被發現的,特別是這一個:其中是雅可比橢圓函式之一。
記法
橢圓積分通常表述為不同變數的函式。這些變數完全等價(它們給出同樣的橢圓積分),但是它們看起來很不相同。很多文獻使用單一一種標準命名規則。在定義積分之前,先來檢視一下這些變數的命名常規:
橢圓積分模角
橢圓積分橢圓模;
橢圓積分參數;
上述三種常規完全互相確定。規定其中一個和規定另外一個一樣。橢圓積分也依賴於另一個變數,可以有如下幾種不同的設定方法:
橢圓積分幅度
橢圓積分
橢圓積分其中
橢圓積分
橢圓積分
橢圓積分,其中而是雅可比橢圓函式之一
橢圓積分
橢圓積分規定其中一個決定另外兩個。這樣,它們可以互換地使用。注意也依賴於 m。其它包含的關係有
橢圓積分和
橢圓積分
橢圓積分後者有時稱為 δ幅度並寫作。有時文獻也稱之為補參數,補模或者補模角。這些在四分周期中有進一步的定義
第一類不完全
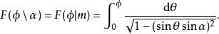
第一類不完全橢圓積分F定義為
橢圓積分
橢圓積分與此等價,用雅可比的形式,可以設;則
橢圓積分
橢圓積分其中,假定任何有豎直條出現的地方,緊跟豎直條的變數是(如上定義的)參數;而且,當反斜槓出現的時候,跟著出現的是模角。 在這個意義下,,這裡的記法來自標準參考書Abramowitz and Stegun。
但是,還有許多不同的用於橢圓積分的記法。取值為橢圓積分的函式沒有(象平方根,正弦和誤差函式那樣的)標準和唯一的名字。
橢圓積分注意
其中u如上文所定義:由此可見,雅可比橢圓函式是橢圓積分的逆。
加法公式
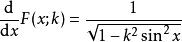
橢圓積分導數
橢圓積分
橢圓積分第二類不完全
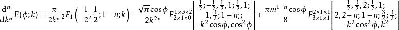
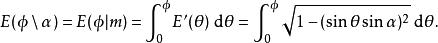
第二類不完全橢圓積分E是
橢圓積分
橢圓積分與此等價,採用另外一個記法(作變數替換),
橢圓積分其它關係包括
橢圓積分
橢圓積分加法公式
橢圓積分
橢圓積分性質
橢圓積分
橢圓積分導數
橢圓積分
橢圓積分
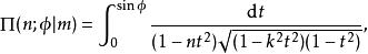
橢圓積分第三類不完全
橢圓積分第三類不完全橢圓積分是
橢圓積分或者
橢圓積分或者
橢圓積分
橢圓積分數字n稱為 特徵數,可以取任意值,和其它參數獨立。但是要注意對於任意m是無窮的。
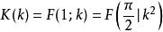
第一類完全
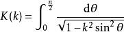
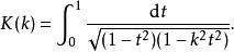
第一類完全橢圓積分K(k)
橢圓積分如果幅度為或者 x=1,則稱橢圓積分為 完全的。 第一類完全橢圓積分K可以定義為
橢圓積分或者
橢圓積分它是第一類不完全橢圓積分的特例:
橢圓積分第一類完全橢圓積分有時稱為四分周期。它可以利用算術幾何平均值來快速計算。
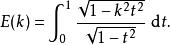
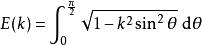
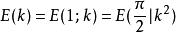
橢圓積分第二類完全
第二類完全橢圓積分E(k)
第二類完全橢圓積分E可以定義為
橢圓積分或者
橢圓積分它是第二類不完全橢圓積分的特殊情況:
橢圓積分第三類完全
橢圓積分不同 n值的第三類完全橢圓積分
橢圓積分第三類完全橢圓積分可以定義為
橢圓積分注意有時第三類橢圓積分被定義為帶相反符號的n,也即
橢圓積分函式關係
勒讓得關係:
橢圓積分
